Son güncelleme :
18/03/2026
Infostab
Listeler
Listeler
Uyumluluk arayın
Y site uyumluluk tablosu
Kaynaklar
Araştırma Takımlar
valistab
afiş
Bağlantıları
sponsorlar
Yazar
Kullanıcı rehberi
Bültenini
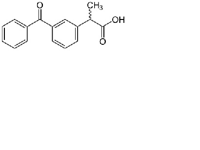
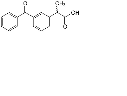
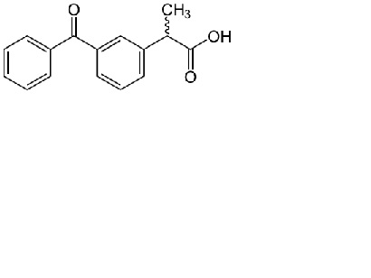
Ketoprofene
Kimyasal yapı
Kaynaklar : Ketoprofene
tip
yayın
3971
Dergi
Gorman G, Sokom S, Coward L, Arnold J J.
Development and Application of a High-Performance Liquid Chromatography Stability-Indicating Assay for Beyond-Use Date Determination of Compounded Topical Gels Containing Multiple Active Drugs.
Int J Pharm Compound 2017 ; 21, 2 : 164-170.
Mentions Légales