Seneste opdatering :
18/03/2026
Infostab
Lister
Bversigter
Søg efter kompatibilitet
Y-site kompatibilitetstabel
Bibliografi
forskerhold
valistab
Poster
Links
sponsorer
Forfatter
Brugervejledning
Nyhedsbrev
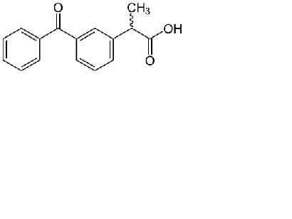
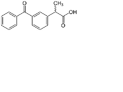
Ketoprofene
Kemisk struktur
Bibliografi : Ketoprofene
Type
offentliggørelse
3971
Journal
Gorman G, Sokom S, Coward L, Arnold J J.
Development and Application of a High-Performance Liquid Chromatography Stability-Indicating Assay for Beyond-Use Date Determination of Compounded Topical Gels Containing Multiple Active Drugs.
Int J Pharm Compound 2017 ; 21, 2 : 164-170.
Mentions Légales