Última actualización :
18/03/2026
Infostab
Lista de la molécula
Listas recapitulativas
Búsqueda de compatibilidades
Tabla de compatibilidad en Y
Bibliografía
Los equipos de investigación
valistab
póster
Vínculos
patrocinadores
Autores
Manual de instruciones
Boletín de noticias
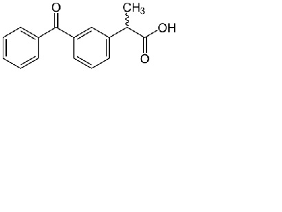
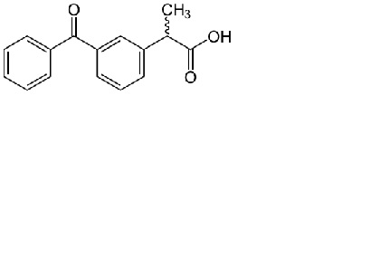
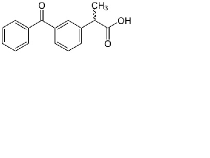
Ketoprofene
Estructura química
Bibliografía : Ketoprofene
Tipo
Publicación
3971
periódico
Gorman G, Sokom S, Coward L, Arnold J J.
Development and Application of a High-Performance Liquid Chromatography Stability-Indicating Assay for Beyond-Use Date Determination of Compounded Topical Gels Containing Multiple Active Drugs.
Int J Pharm Compound 2017 ; 21, 2 : 164-170.
Mentions Légales