Τελευταία ενημέρωση :
18/03/2026
Αντιφλεγμονώδες   Ketoprofene  
Αλοιφές
Ενέσιμο Πόσιμο διάλυμα Υπόθετο
Σταθερότητα και συμβατότητα των φαρμάκων Σταθερότητα σε μίγματα Παράγοντας που επηρεάζει τη σταθερότητα Συμβατότητες Βιβλιογραφία pdf
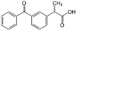
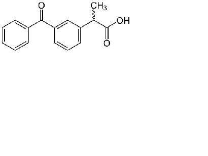
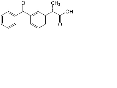
   χημική δομή  

Αλοιφές
Βιβλιογραφία   Αλοιφές   Βιβλιογραφία : Ketoprofene  
τύπος δημοσίευση
3971 εφημερίδα Gorman G, Sokom S, Coward L, Arnold J J.
Development and Application of a High-Performance Liquid Chromatography Stability-Indicating Assay for Beyond-Use Date Determination of Compounded Topical Gels Containing Multiple Active Drugs.
Int J Pharm Compound 2017 ; 21, 2 : 164-170.

  Mentions Légales