Cập nhật lần cuối :
31/03/2026
Kháng sinh   Clindamycine hydrochloride  
Dung dịch uống
Tính ổn định của các chế phẩm Độ ổn định khi trộn lẫn Những yếu tố ảnh hưởng đến độ ổn định Khả năng tương thích Tài liệu tham khảo Pdf
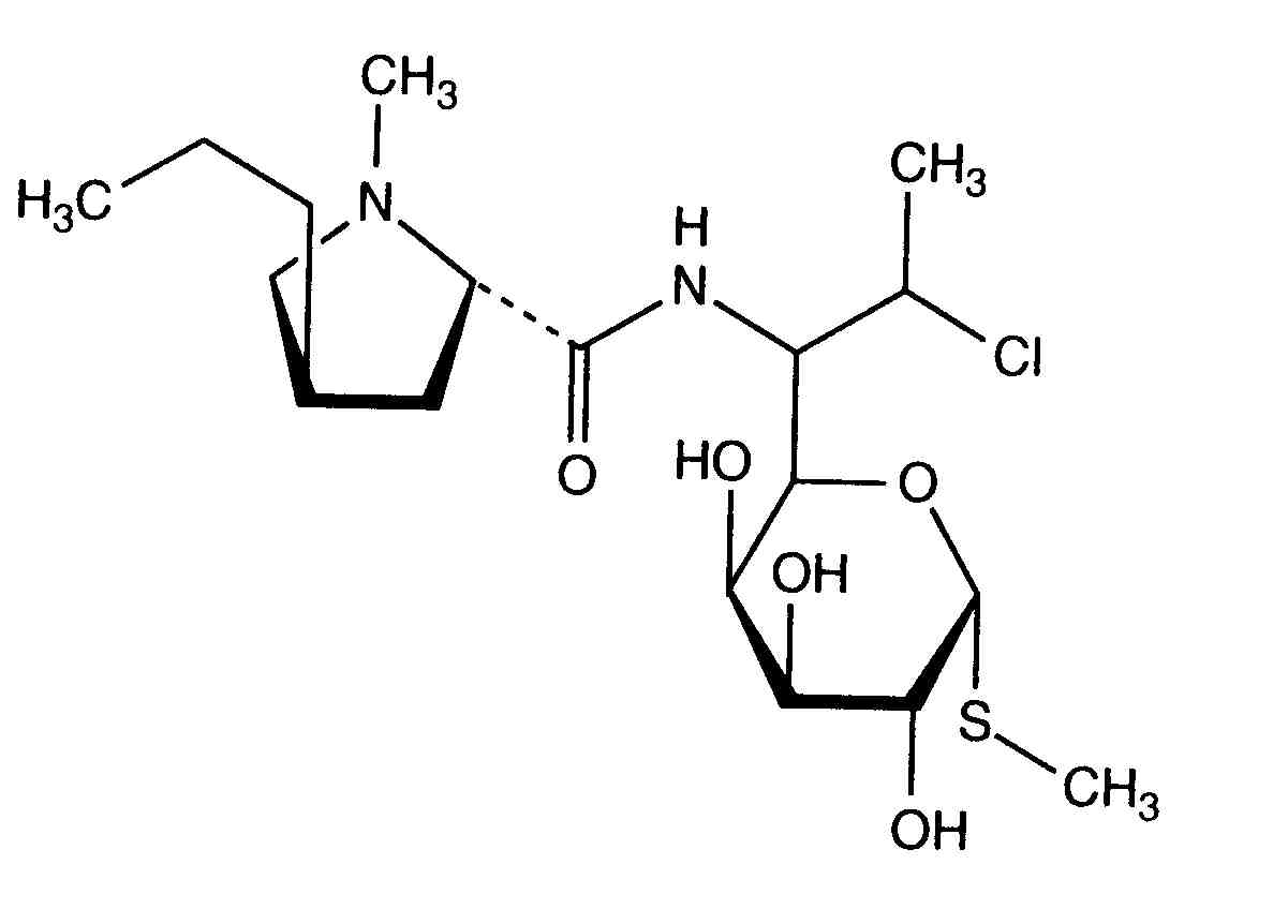
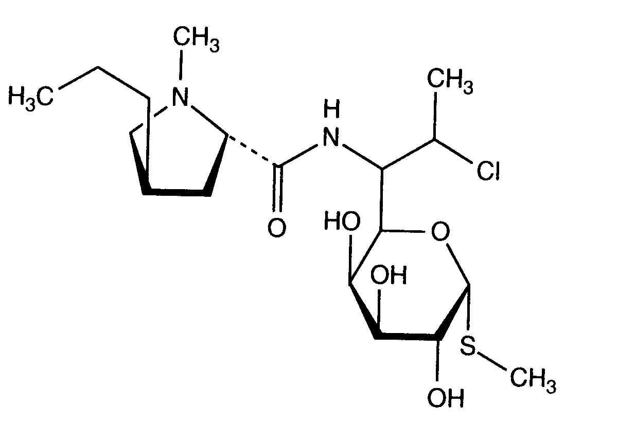
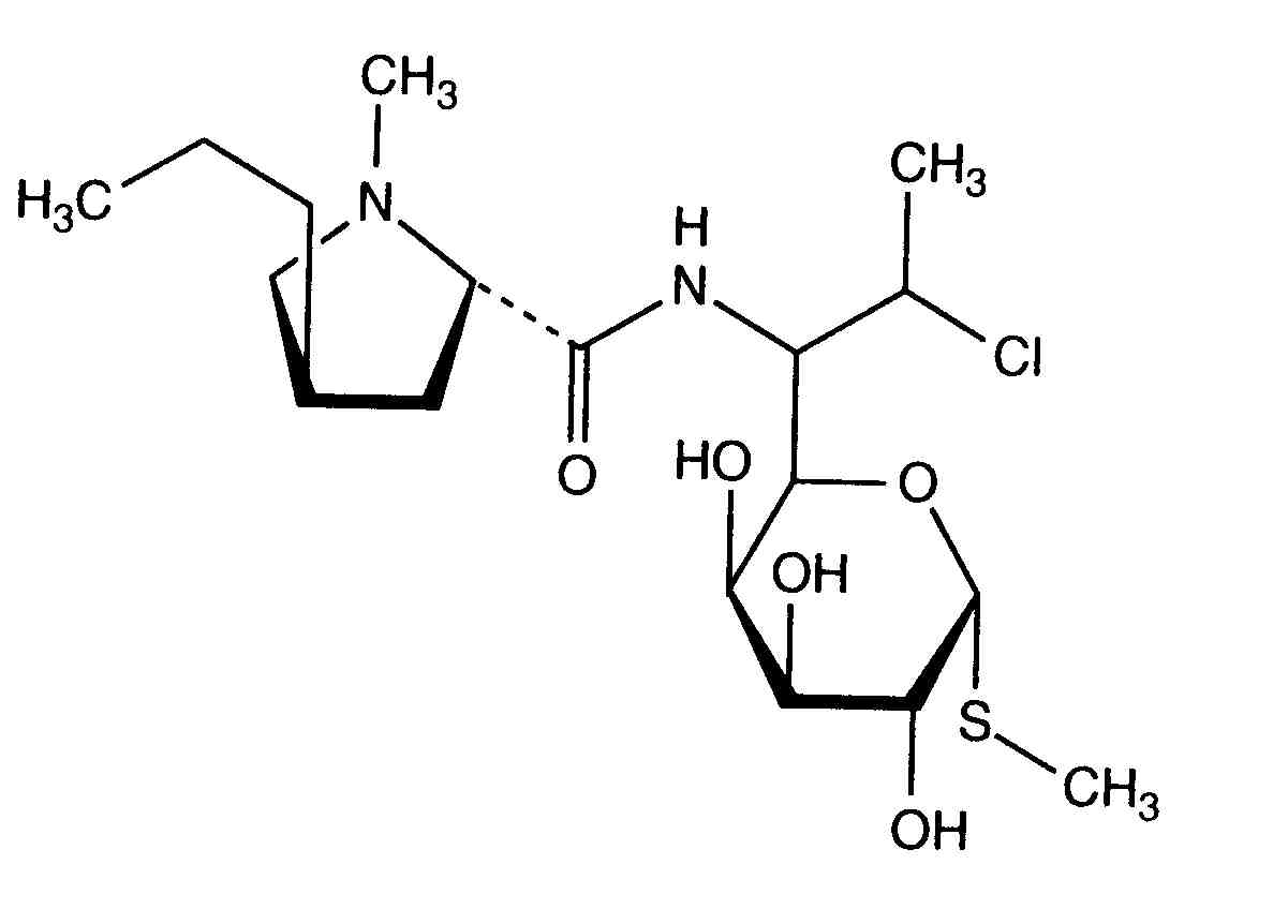
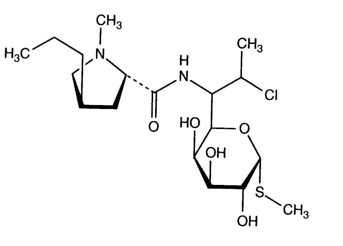
   Cấu trúc hóa học  

Dung dịch uống
Tính ổn định của các chế phẩm   Dung dịch uống   Tính ổn định của các chế phẩm : Clindamycine hydrochloride     
Bao bì Nguyên bản Tá dược Nhiệt độ Bảo quản Thời gian ổn định Mục lục
Không rõ Bột 50 mg
® = ?
Suspendit® >> 5 mL
2-8°C Tránh ánh sáng
180 Ngày
3901

Không rõ Bột 50 mg
® = ?
Suspendit® >> 5 mL
25°C Tránh ánh sáng
45 Ngày
3901


  Mentions Légales