Ultimele actualizari :
31/03/2026
Antibiotic   Clindamycine hydrochloride  
Soluţie orală
Stabilitatea preparatelor farmaceutice Stabilitatea in amestec Factorii care influenteaza stabilitatea Compatibilitate Bibliografie pdf
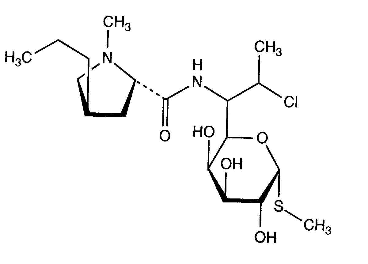
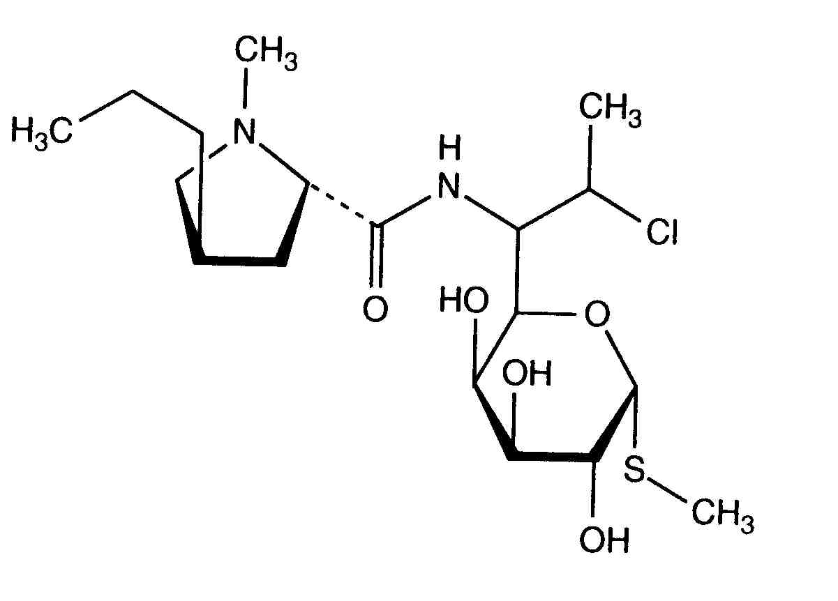
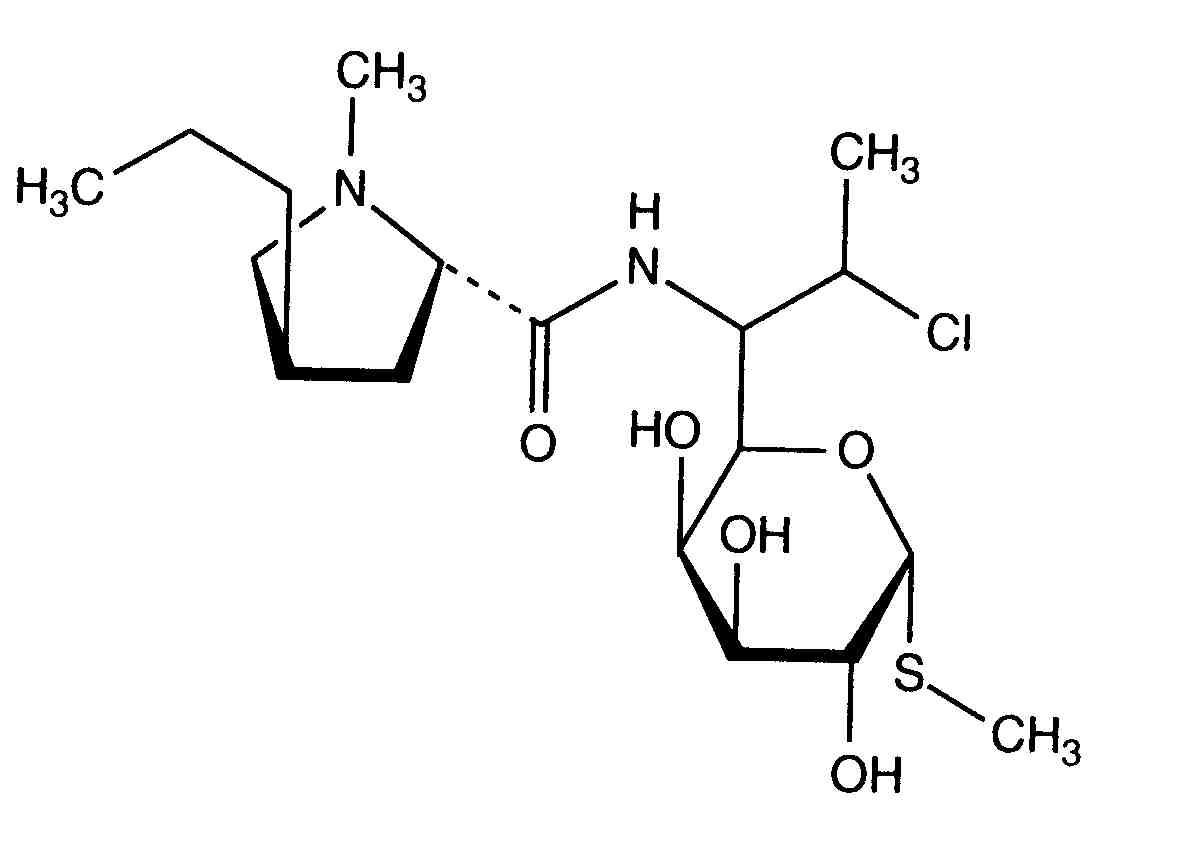
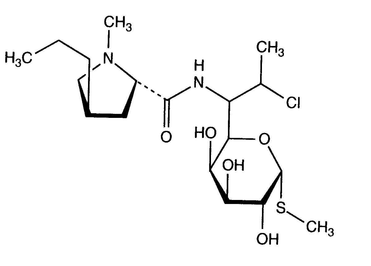
   Formula chimica  

Soluţie orală
Stabilitatea preparatelor farmaceutice   Soluţie orală   Stabilitatea preparatelor farmaceutice : Clindamycine hydrochloride     
Continut Origine Excipient Temperatura Conservare Durata stabilității Bibiografie
neprecizat praf 50 mg
® = ?
Suspendit® >> 5 mL
2-8°C Ferit de lumina
180 Ziua
3901

neprecizat praf 50 mg
® = ?
Suspendit® >> 5 mL
25°C Ferit de lumina
45 Ziua
3901


  Mentions Légales