Останнє оновлення :
31/03/2026
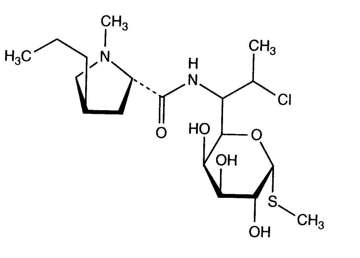
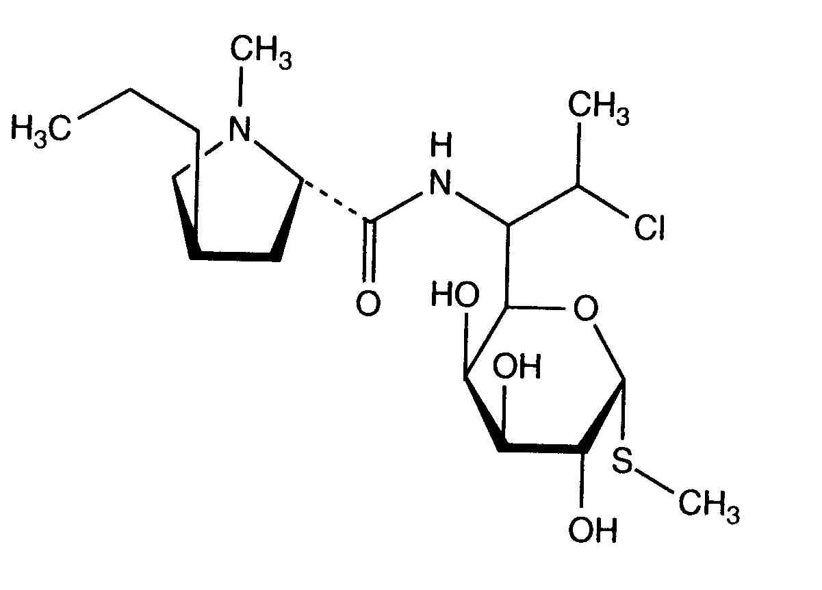
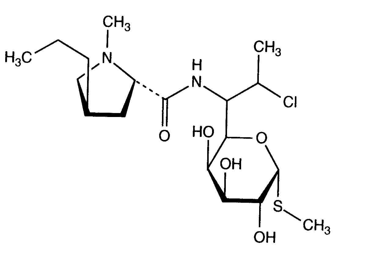
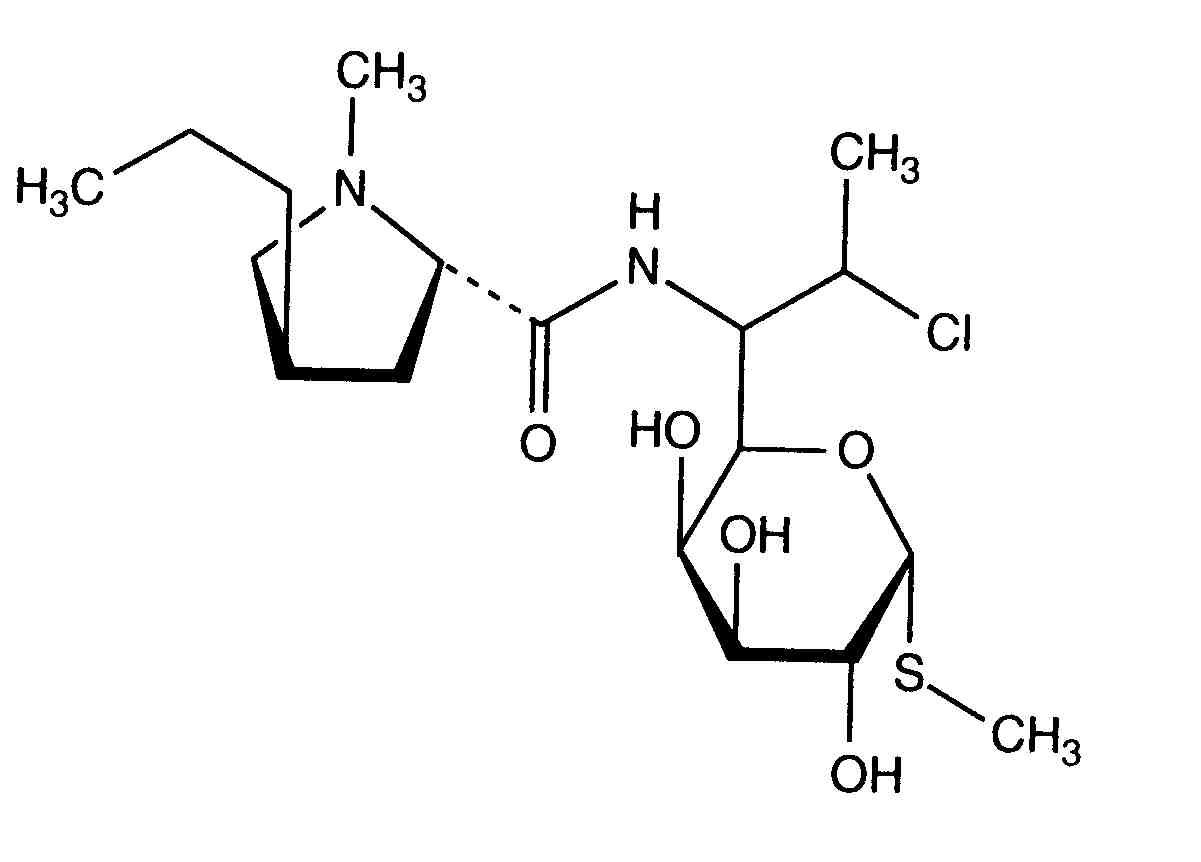
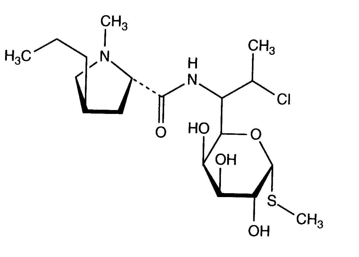
Антибіотик   Clindamycine hydrochloride  
Розчин для перорального застосування
Стабільність фармацевтичних препаратів Стійкість сумішей Фактори, що впливають на стабільність Сумісність Список літератури pdf
   Хімічна структура  

Розчин для перорального застосування
Стабільність фармацевтичних препаратів   Розчин для перорального застосування   Стабільність фармацевтичних препаратів : Clindamycine hydrochloride     
Контейнер Origine допоміжна речовина температура Зберігання Тривалість стабільності Список літератури
Не визначено powder 50 mg
® = ?
Suspendit® >> 5 mL
2-8°C Берегти від світла
180 День
3901

Не визначено powder 50 mg
® = ?
Suspendit® >> 5 mL
25°C Берегти від світла
45 День
3901


  Mentions Légales