Utolsó frissítés :
31/03/2026
Antibiotikum   Clindamycine hydrochloride  
belsőleges oldat
Stabilitása gyógyszerészeti készítmények A keverékek stabilitása Stabilitást befolyásoló tényezők Kompatibilitás Irodalom pdf
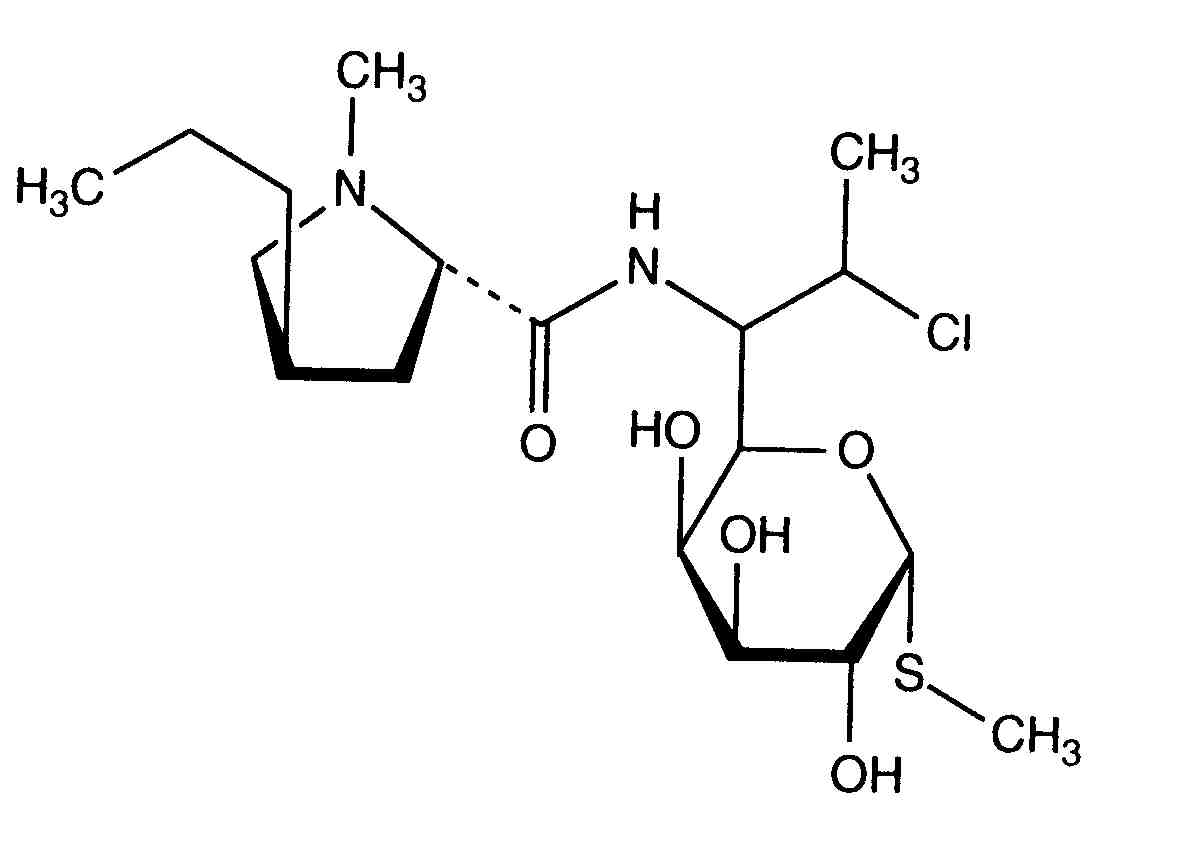
   Kémiai szerkezet   

belsőleges oldat
Stabilitása gyógyszerészeti készítmények   belsőleges oldat   Stabilitása gyógyszerészeti készítmények : Clindamycine hydrochloride     
Csomagolás Origine segédanyag Hőmérséklet Tárolás A stabilitás időtartama Irodalom
Nincs meghatározva por 50 mg
® = ?
Suspendit® >> 5 mL
2-8°C Fénytől védve tartandó
180 Nap
3901

Nincs meghatározva por 50 mg
® = ?
Suspendit® >> 5 mL
25°C Fénytől védve tartandó
45 Nap
3901


  Mentions Légales