Poslední aktualizace :
31/03/2026
Antibiotikum   Clindamycine hydrochloride  
Perorální roztok
Stabilita farmaceutických přípravků Stabilita směsí Faktory ovlivňující stabilitu Kompatibilita Odkazy pdf
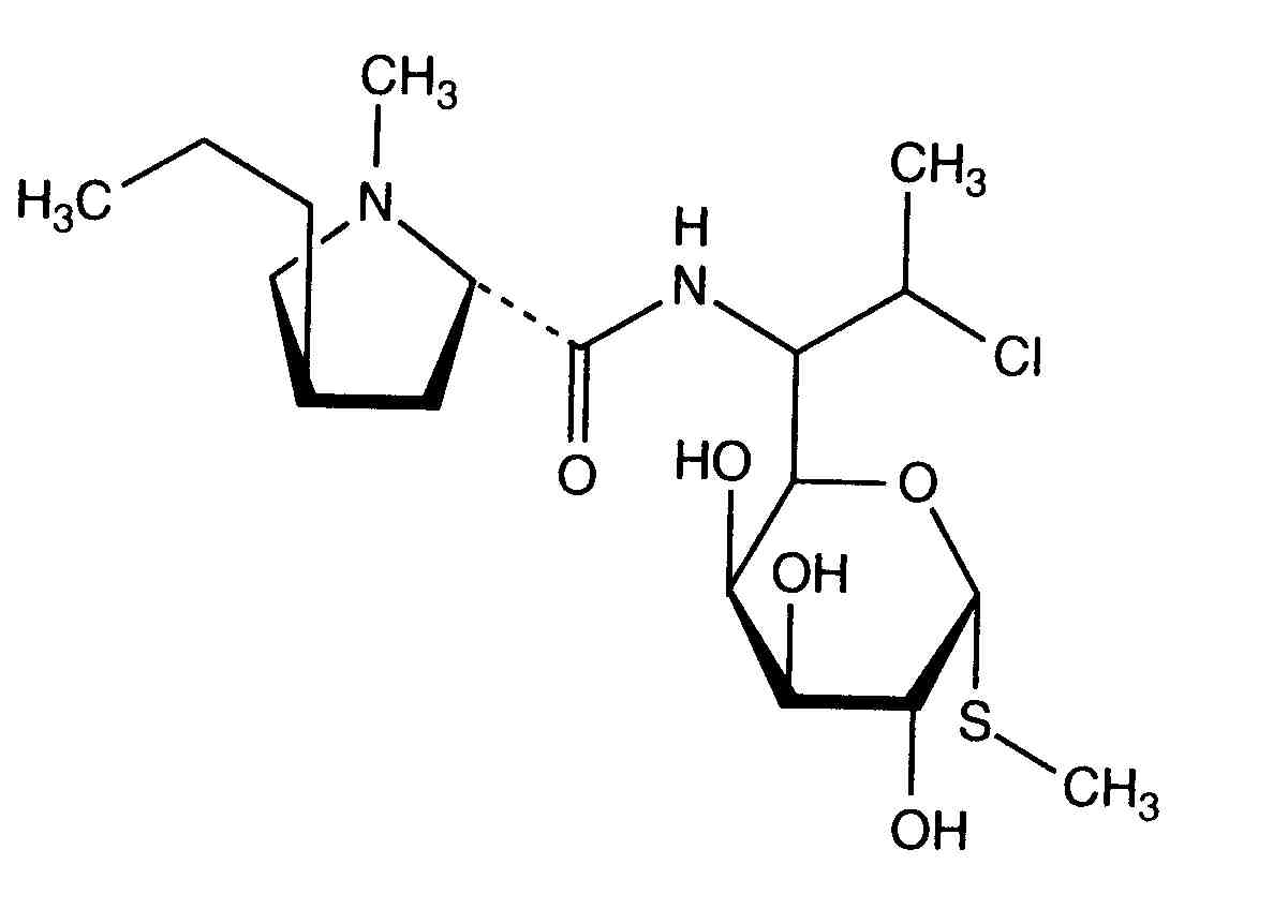
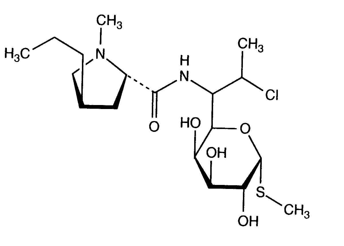
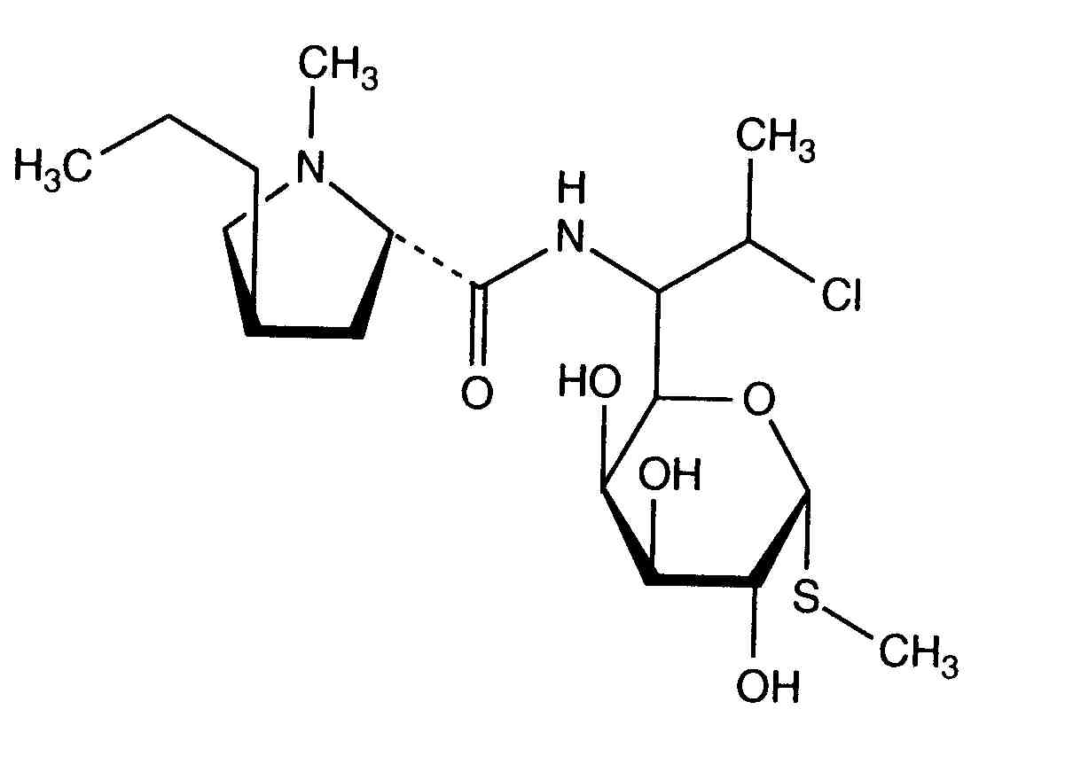
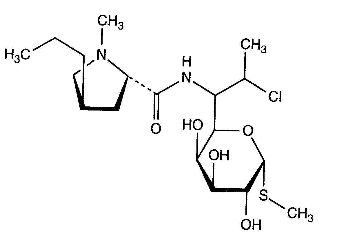
   Chemický vzorec  

Perorální roztok
Stabilita farmaceutických přípravků   Perorální roztok   Stabilita farmaceutických přípravků : Clindamycine hydrochloride     
Obal Origine Pomocné látky Teplota Uchovávání Trvání stability Odkazy
Nespecifikováno prášek 50 mg
® = ?
Suspendit® >> 5 mL
2-8°C Chráněno před světlem
180 Den
3901

Nespecifikováno prášek 50 mg
® = ?
Suspendit® >> 5 mL
25°C Chráněno před světlem
45 Den
3901


  Mentions Légales