Posledná aktualizácia :
31/03/2026
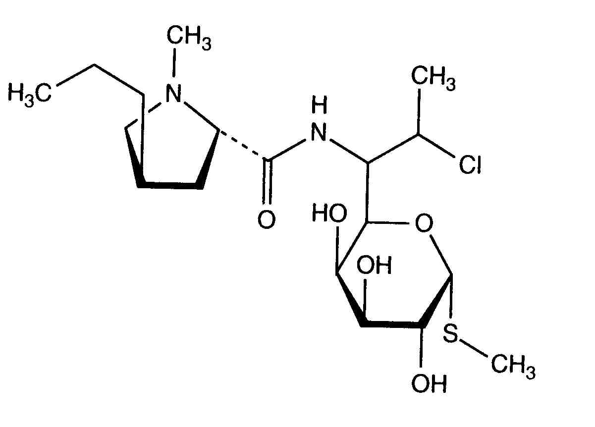
antibiotikum   Clindamycine hydrochloride  
Perorálny roztok
Stabilita farmaceutických prípravkov Stabilita v zmesiach Faktory ovplyvňujúce stabilitu Kompatibility Odkazy na literatúru PDF
   Chemický vzorec  

Perorálny roztok
Stabilita farmaceutických prípravkov   Perorálny roztok   Stabilita farmaceutických prípravkov : Clindamycine hydrochloride     
obal Pôvod Pomocná látka teplota uchovávanie Trvanie stability odkazy na lieteratúru
nešpecifikované Prášok 50 mg
® = ?
Suspendit® >> 5 mL
2-8°C Chránené pred svetlom
180 dní
3901

nešpecifikované Prášok 50 mg
® = ?
Suspendit® >> 5 mL
25°C Chránené pred svetlom
45 dní
3901


  Mentions Légales