Последно актуализиране :
31/03/2026
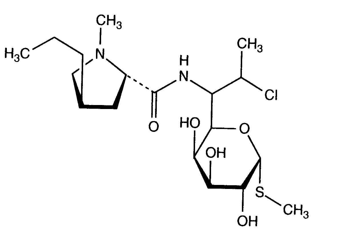
Антибиотик   Clindamycine hydrochloride  
Орален разтвор
Стабилност на лекарствени препарати Стабилност на смеси Фактори, повлияващи стабилността Съвместимост Библиография Pdf
   Химична структура  

Орален разтвор
Стабилност на лекарствени препарати   Орален разтвор   Стабилност на лекарствени препарати : Clindamycine hydrochloride     
Контейнер Origine Помощно вещество Температура Съхранение Продължителност на стабилността Библиография
Не е уточнено Прах 50 mg
® = ?
Suspendit® >> 5 mL
2-8°C Защита от светлина
180 Ден
3901

Не е уточнено Прах 50 mg
® = ?
Suspendit® >> 5 mL
25°C Защита от светлина
45 Ден
3901


  Mentions Légales