最新更新 :
31/03/2026
抗生素   Clindamycine hydrochloride  
口服剂
制剂的稳定性 混合物稳定性 影响稳定性的因素 兼容性 引用文献 PDF
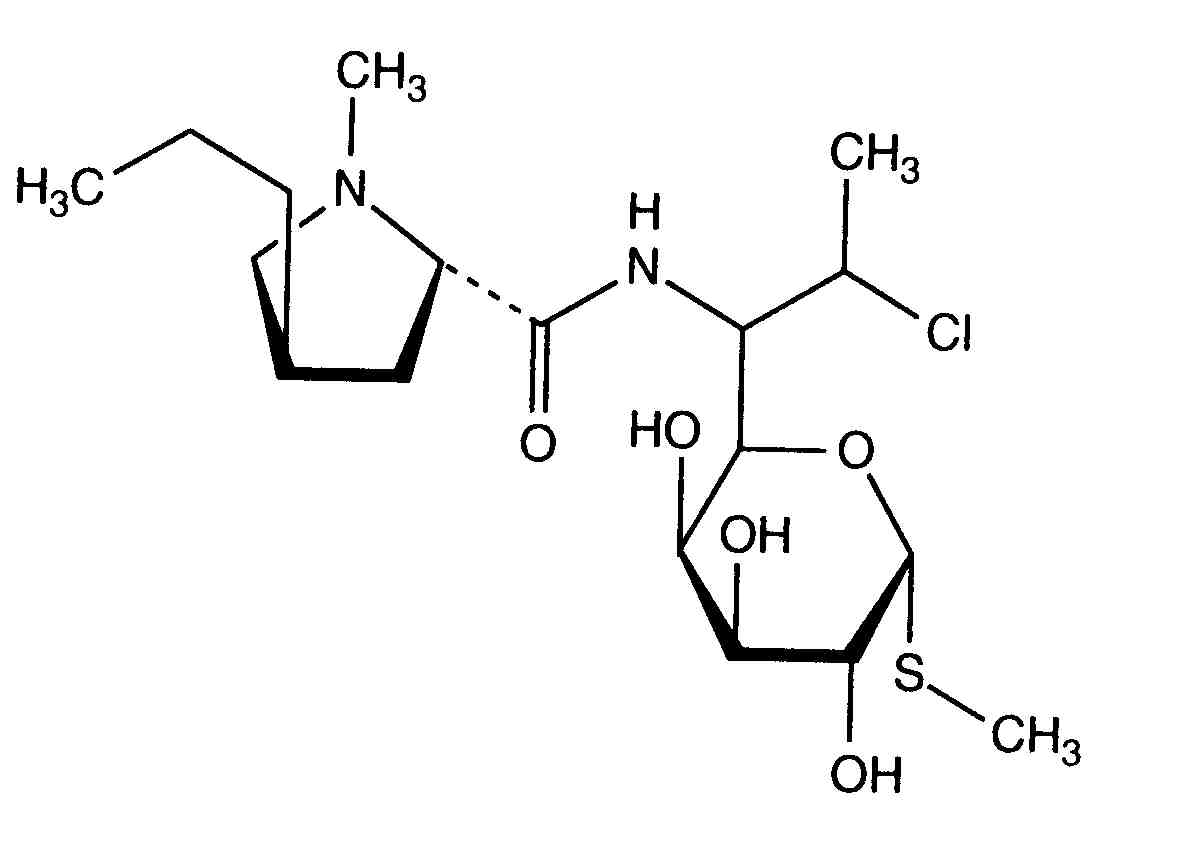
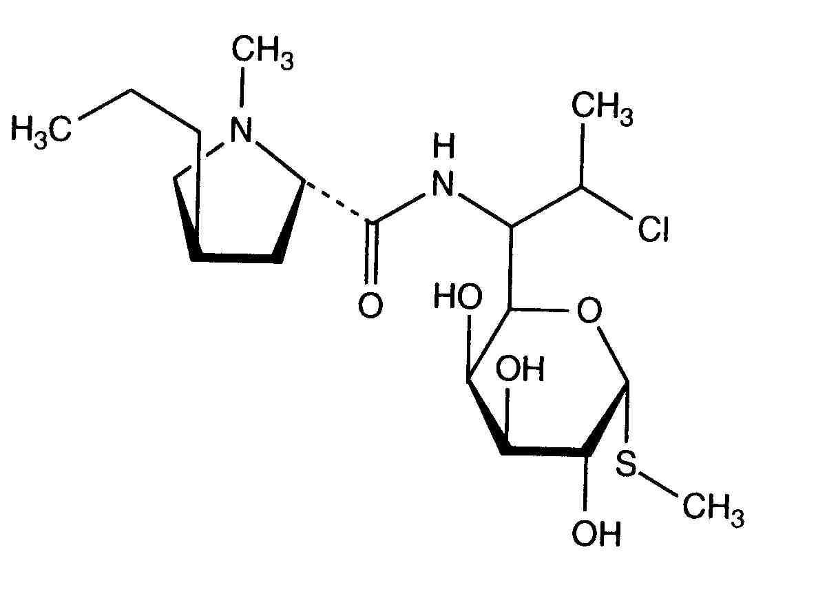
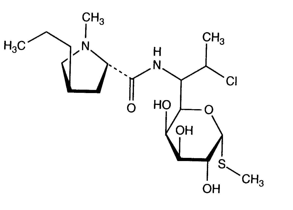
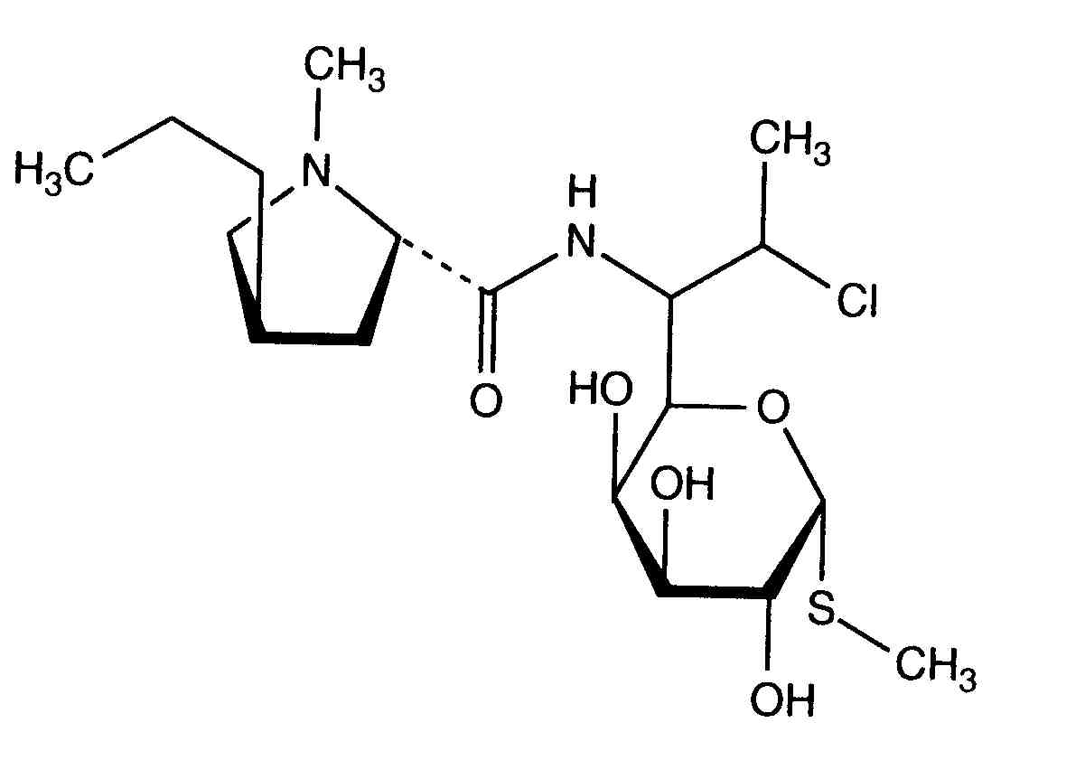
   化学式  

口服剂
制剂的稳定性   口服剂   制剂的稳定性 : Clindamycine hydrochloride     
容器 Origine 添加剂 温度 保存 穩定持續時間 引用文献
不详 粉剂 50 mg
® = ?
Suspendit® >> 5 mL
2-8°C 避光
180 白天
3901

不详 粉剂 50 mg
® = ?
Suspendit® >> 5 mL
25°C 避光
45 白天
3901


  Mentions Légales