Ostatnia aktualizacja :
31/03/2026
Antybiotyk   Clindamycine hydrochloride  
Roztwór doustny
Stabilność preparatów farmaceutycznych Trwałość w mieszaninie Czynnik wpływający na trwałość Zgodność Bibliografia pdf
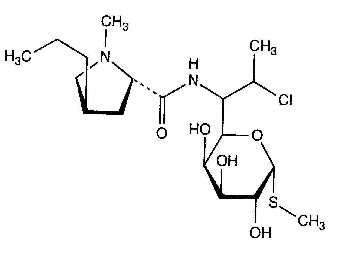
   Struktura chemiczna  

Roztwór doustny
Stabilność preparatów farmaceutycznych   Roztwór doustny   Stabilność preparatów farmaceutycznych : Clindamycine hydrochloride     
Pojemnik Origine Substancja pomocniczna Temperatura Przechowywanie Czas trwania stabilności Bibliografia
Brak informacji Proszek 50 mg
® = ?
Suspendit® >> 5 mL
2-8°C Chronić od światła
180 Dzień
3901

Brak informacji Proszek 50 mg
® = ?
Suspendit® >> 5 mL
25°C Chronić od światła
45 Dzień
3901


  Mentions Légales