Son güncelleme :
31/03/2026
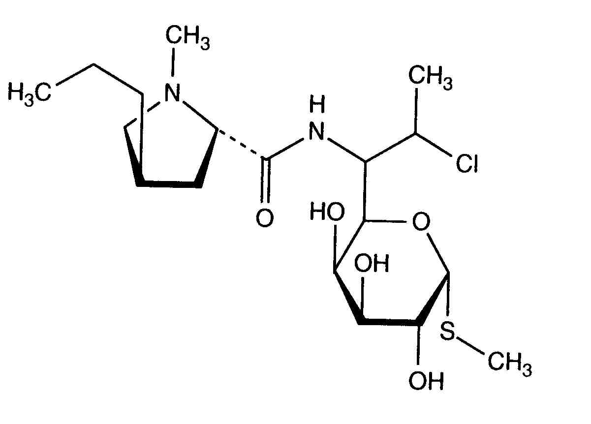
Antibiyotik   Clindamycine hydrochloride  
Oral solüsyon / oral çözelti
Farmasötik preparatlar Kararlılığı Karışımlardaki stabilitesi Stabiliteyi etkileyen faktörler Uyumluluk Kaynaklar pdf
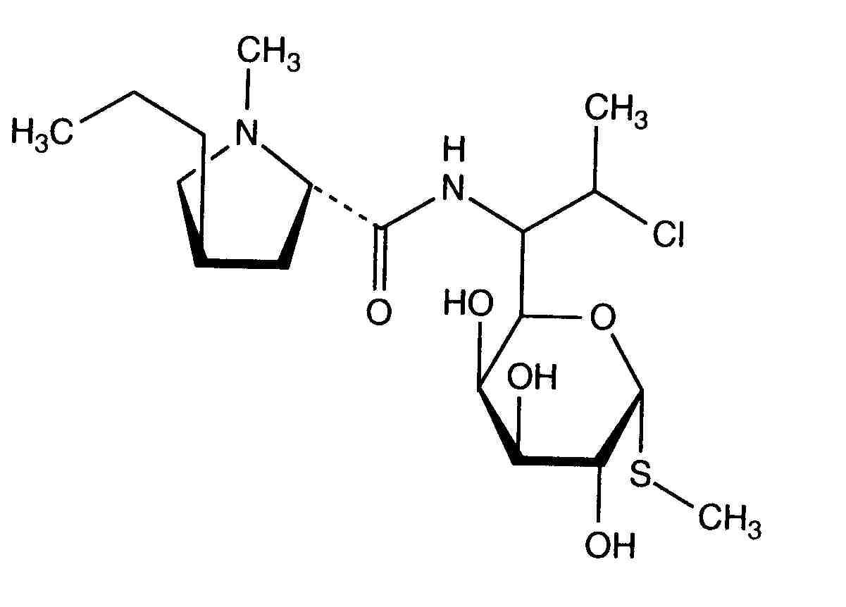
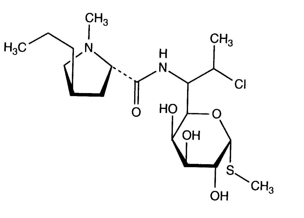
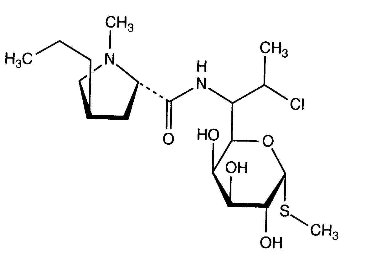
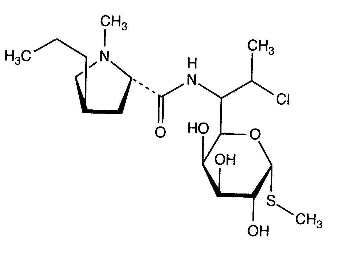
   Kimyasal yapı   

Oral solüsyon / oral çözelti
Farmasötik preparatlar Kararlılığı   Oral solüsyon / oral çözelti   Farmasötik preparatlar Kararlılığı : Clindamycine hydrochloride     
Saklama kabı Origine yardımcı madde Isı Saklama    Stabilite süresi Kaynaklar
Belirtilmemiş Toz 50 mg
® = ?
Suspendit® >> 5 mL
2-8°C Işıktan koruyunuz
180 Gün
3901

Belirtilmemiş Toz 50 mg
® = ?
Suspendit® >> 5 mL
25°C Işıktan koruyunuz
45 Gün
3901


  Mentions Légales