Senaste uppdateringen :
31/03/2026
Antibiotikum   Clindamycine hydrochloride  
Oral lösning
Stabilitet av läkemedel Stabilitet i blandningar Faktorer som påverkar stabiliteten Kompatibilitet Hänvisningar pdf
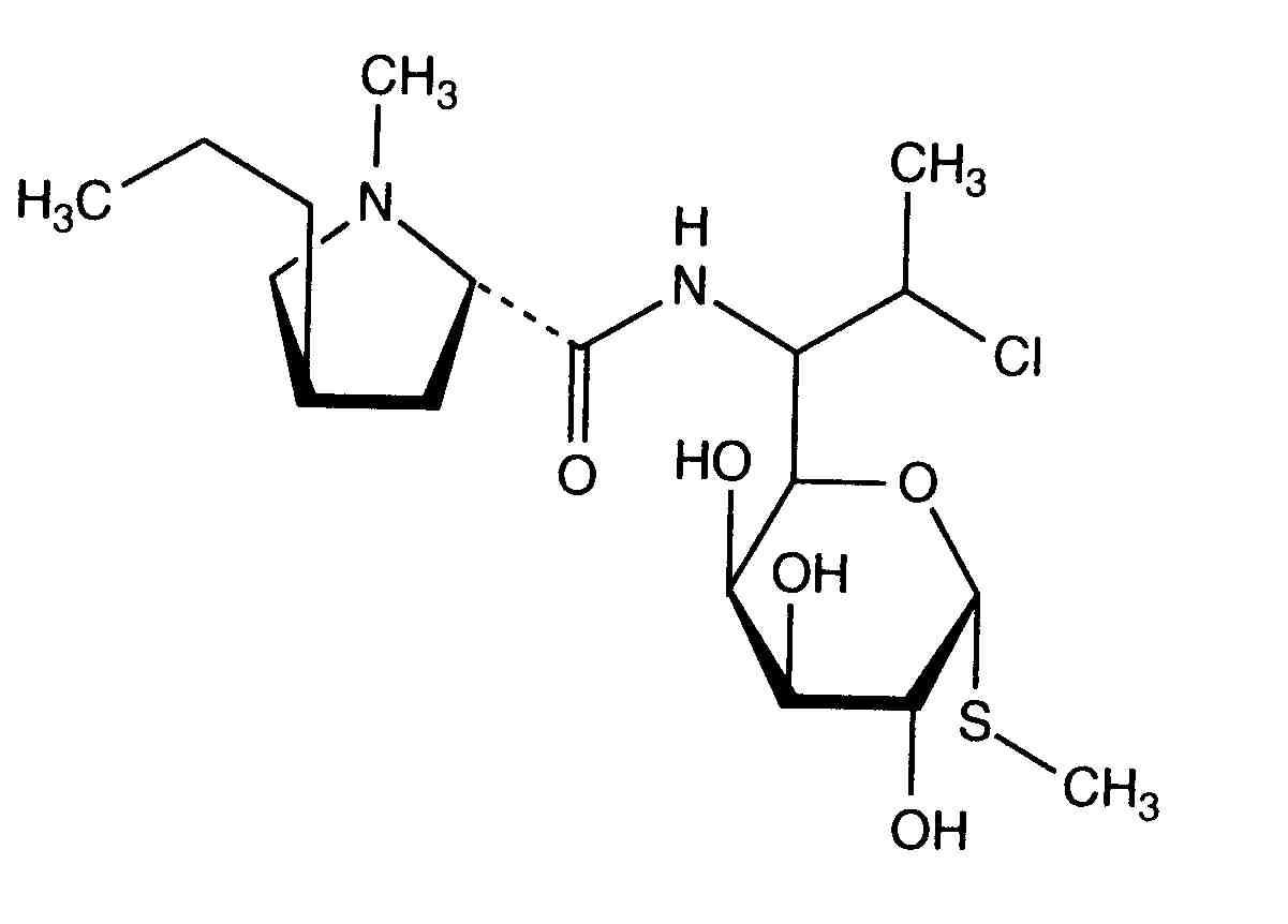
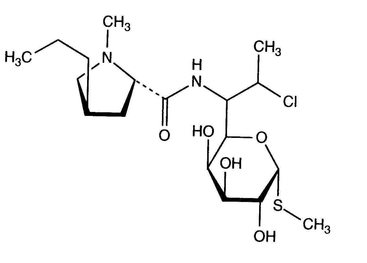
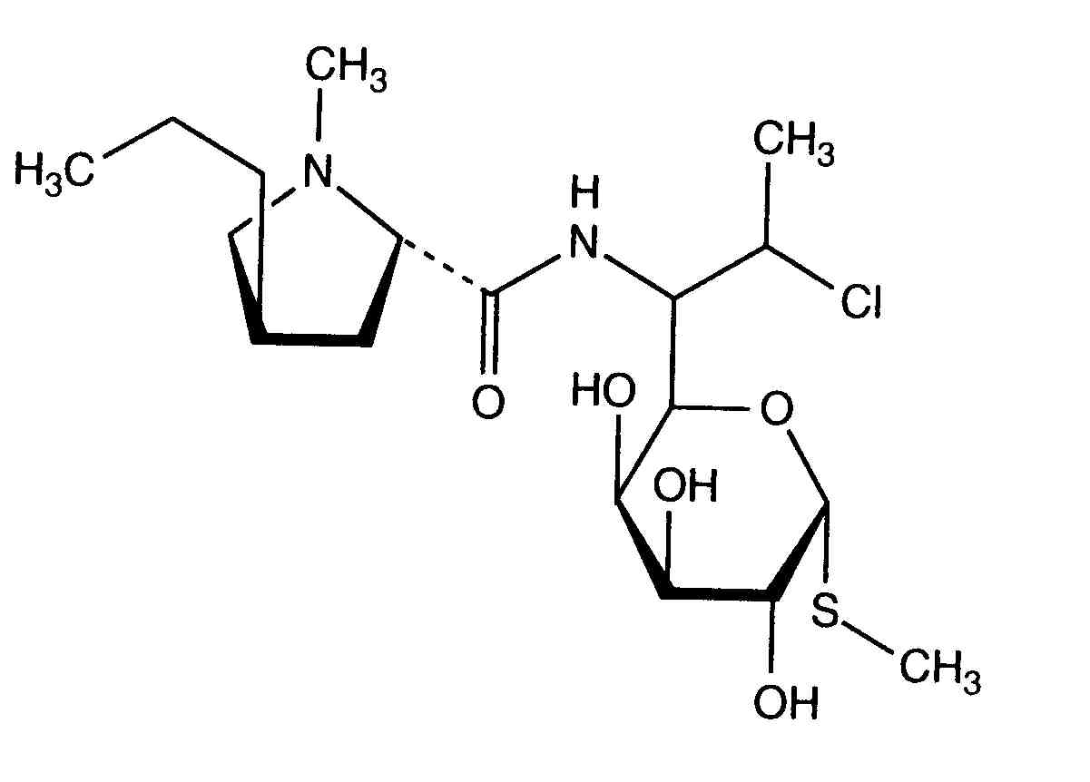
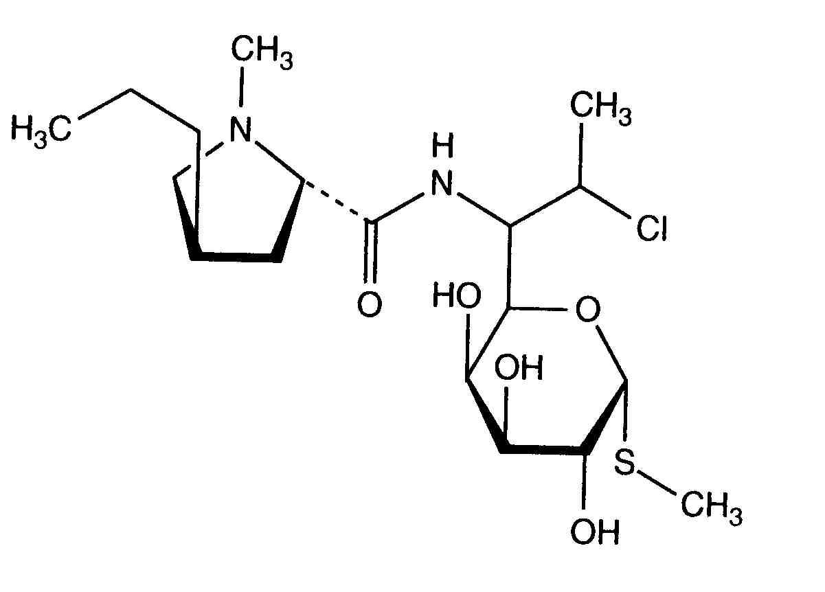
   Molekylstruktur  

Oral lösning
Stabilitet av läkemedel   Oral lösning   Stabilitet av läkemedel : Clindamycine hydrochloride     
Behållare Origine Hjälpämne Temperatur Förvaring Stabilitets varaktighet Hänvisningar
Ej angiven Pulver 50 mg
® = ?
Suspendit® >> 5 mL
2-8°C Skyddas från ljus
180 Dag
3901

Ej angiven Pulver 50 mg
® = ?
Suspendit® >> 5 mL
25°C Skyddas från ljus
45 Dag
3901


  Mentions Légales