Última actualização :
31/03/2026
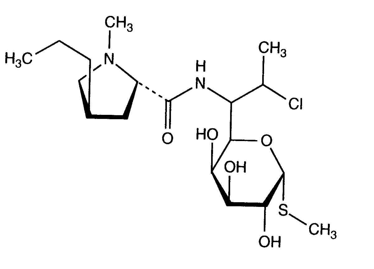
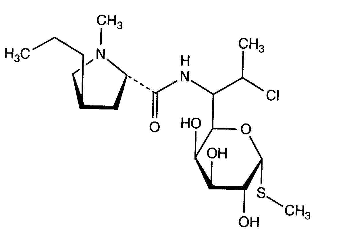
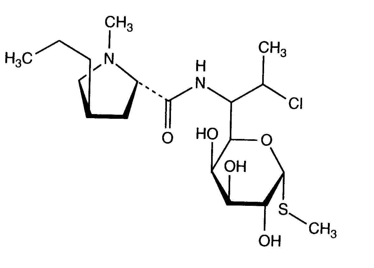
antibiótico   Clindamycine hydrochloride  
Solução Oral
Estabilidade de preparações farmacêuticas Estabilidade em misturas Factores que afectam a sua estabilidade Compatibilidade Bibliografía pdf
   estrutura química  

Solução Oral
Estabilidade de preparações farmacêuticas   Solução Oral   Estabilidade de preparações farmacêuticas : Clindamycine hydrochloride     
Embalagem Origine excipiente temperatura conservação Duração da estabilidade Bibliografia
no especificado pó 50 mg
® = ?
Suspendit® >> 5 mL
2-8°C ao abrigo da luz
180 dia
3901

no especificado pó 50 mg
® = ?
Suspendit® >> 5 mL
25°C ao abrigo da luz
45 dia
3901


  Mentions Légales