Dernière mise à jour :
31/03/2026
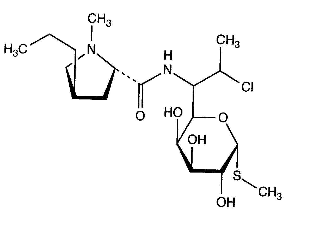
Antibiotique   Clindamycine hydrochloride  
Solution buvable
Stabilité des préparations Stabilité en mélange Facteur influençant la stabilité Compatibilités Bibliographie pdf
   Structure chimique  

Solution buvable
Stabilité des préparations   Solution buvable   Stabilité des préparations : Clindamycine hydrochloride     
Contenant Origine Excipient Température Conservation Durée de stabilité Bibliographie
Non précisé Poudre 50 mg
® = ?
Suspendit® >> 5 mL
2-8°C A l’abri de la lumière
180 Jour
3901

Non précisé Poudre 50 mg
® = ?
Suspendit® >> 5 mL
25°C A l’abri de la lumière
45 Jour
3901


  Mentions Légales