Pēdējā atjaunošana :
31/03/2026
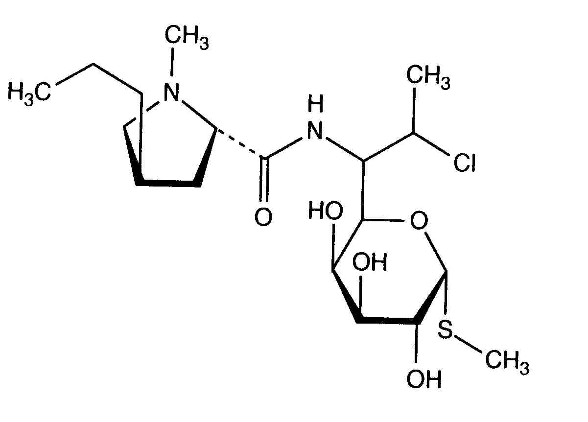
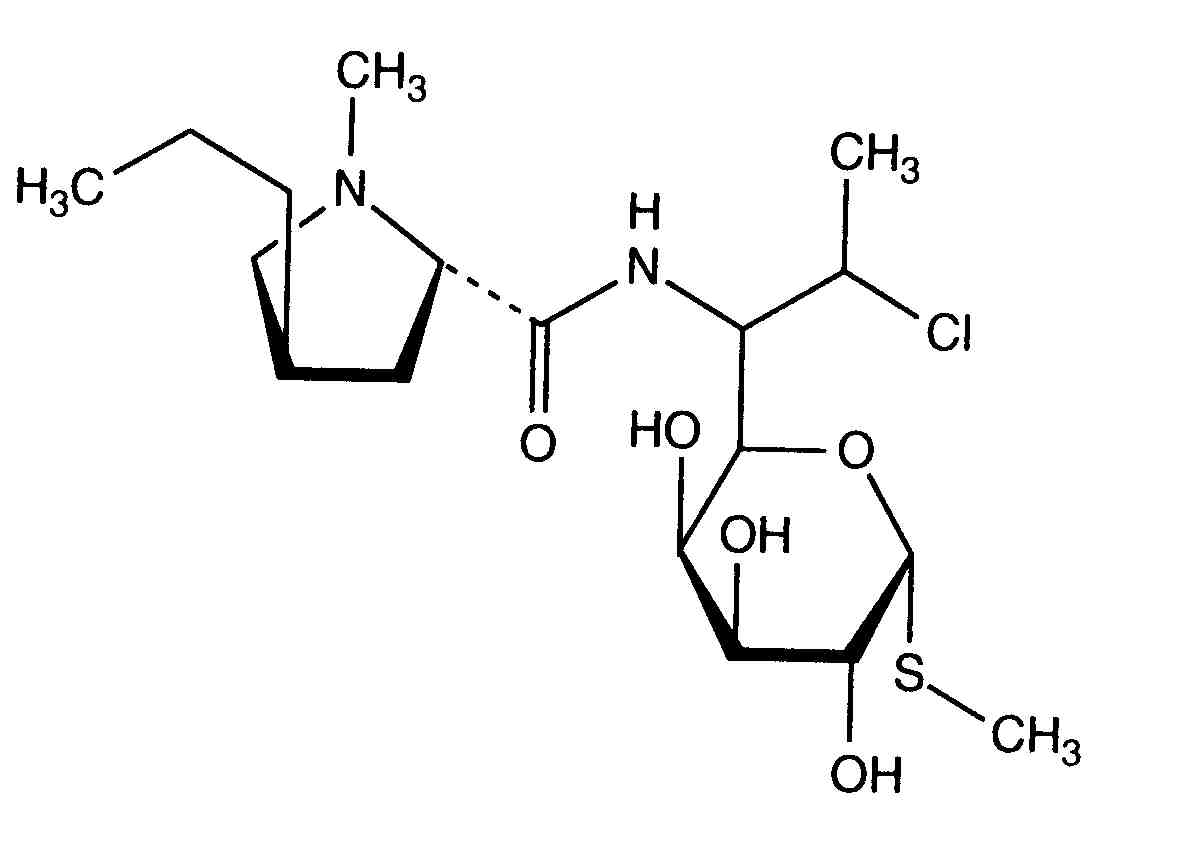
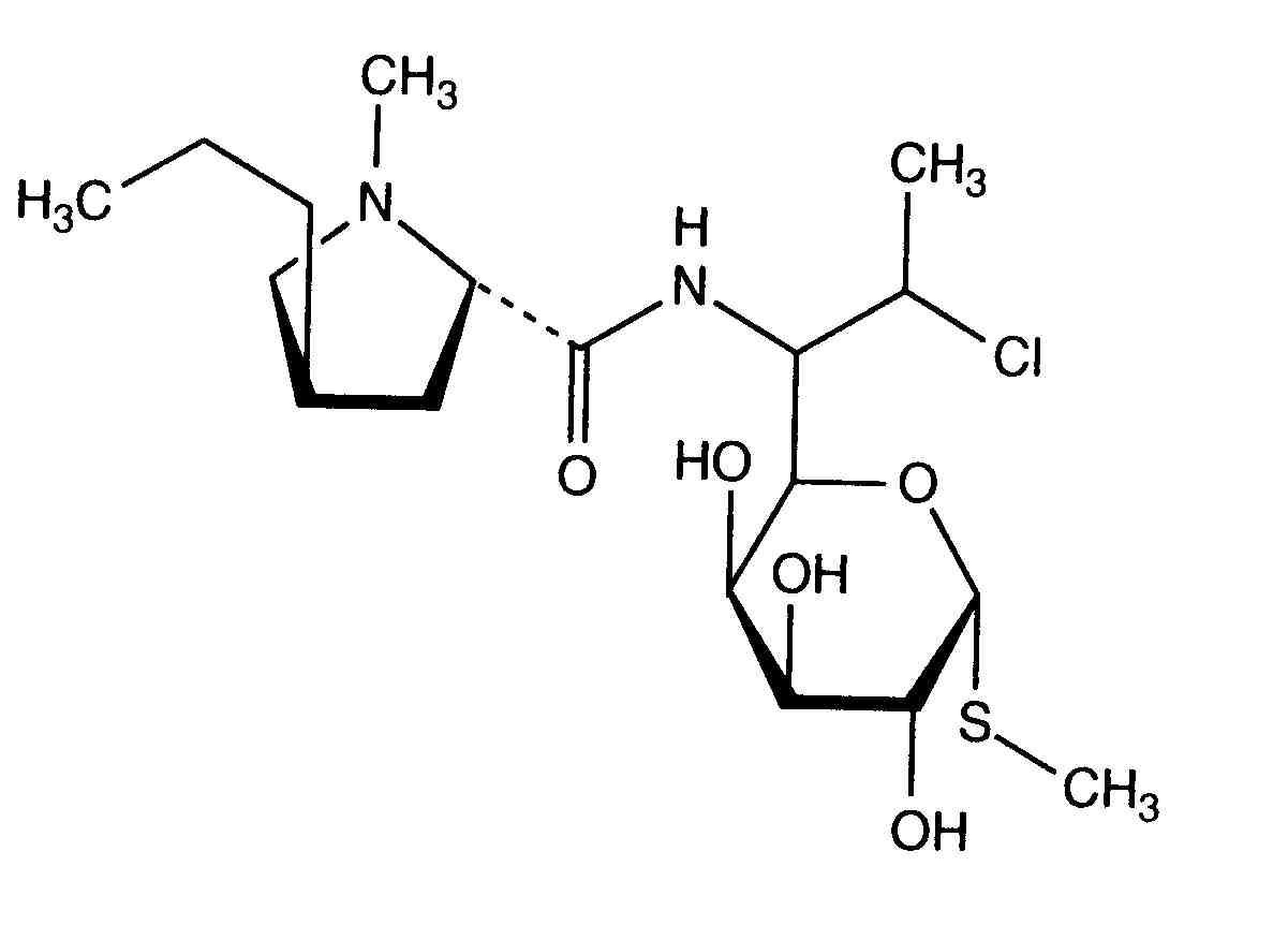
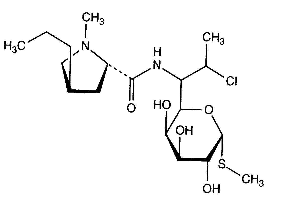
Antibiotika   Clindamycine hydrochloride  
Orāls šķīdums
Stabilitāte farmaceitisko preparātu Maisījuma stabilitāte Stabilitāti ietekmējoši faktori Saderība Literatūras saraksts pdf
   Ķīmiskā uzbūve   

Orāls šķīdums
Stabilitāte farmaceitisko preparātu   Orāls šķīdums   Stabilitāte farmaceitisko preparātu : Clindamycine hydrochloride     
Iepakojums Origine Palīgviela Temperatūra Glabāšana Stabilitātes ilgums Literatūras saraksts
Nespecifisks Pūderis 50 mg
® = ?
Suspendit® >> 5 mL
2-8°C Aizsargāt no gaismas
180 Diena
3901

Nespecifisks Pūderis 50 mg
® = ?
Suspendit® >> 5 mL
25°C Aizsargāt no gaismas
45 Diena
3901


  Mentions Légales