Ultimo aggiornamento :
31/03/2026
Antibiotico   Clindamycine hydrochloride  
Soluzione orale
Stabilità dei preparati farmaceutici Stabilità in miscela Fattori che influenzano la stabilità Compatibilità Bibliografia pdf
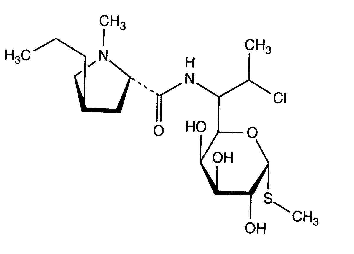
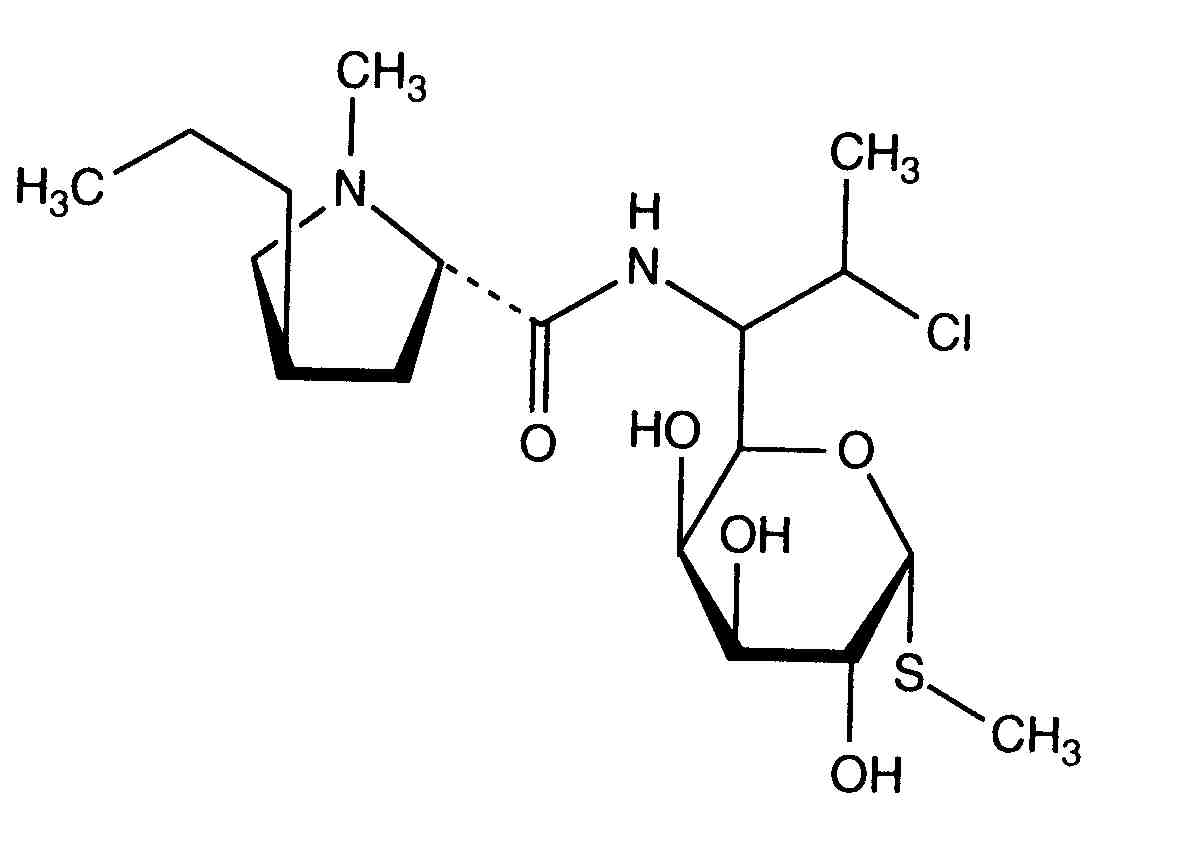
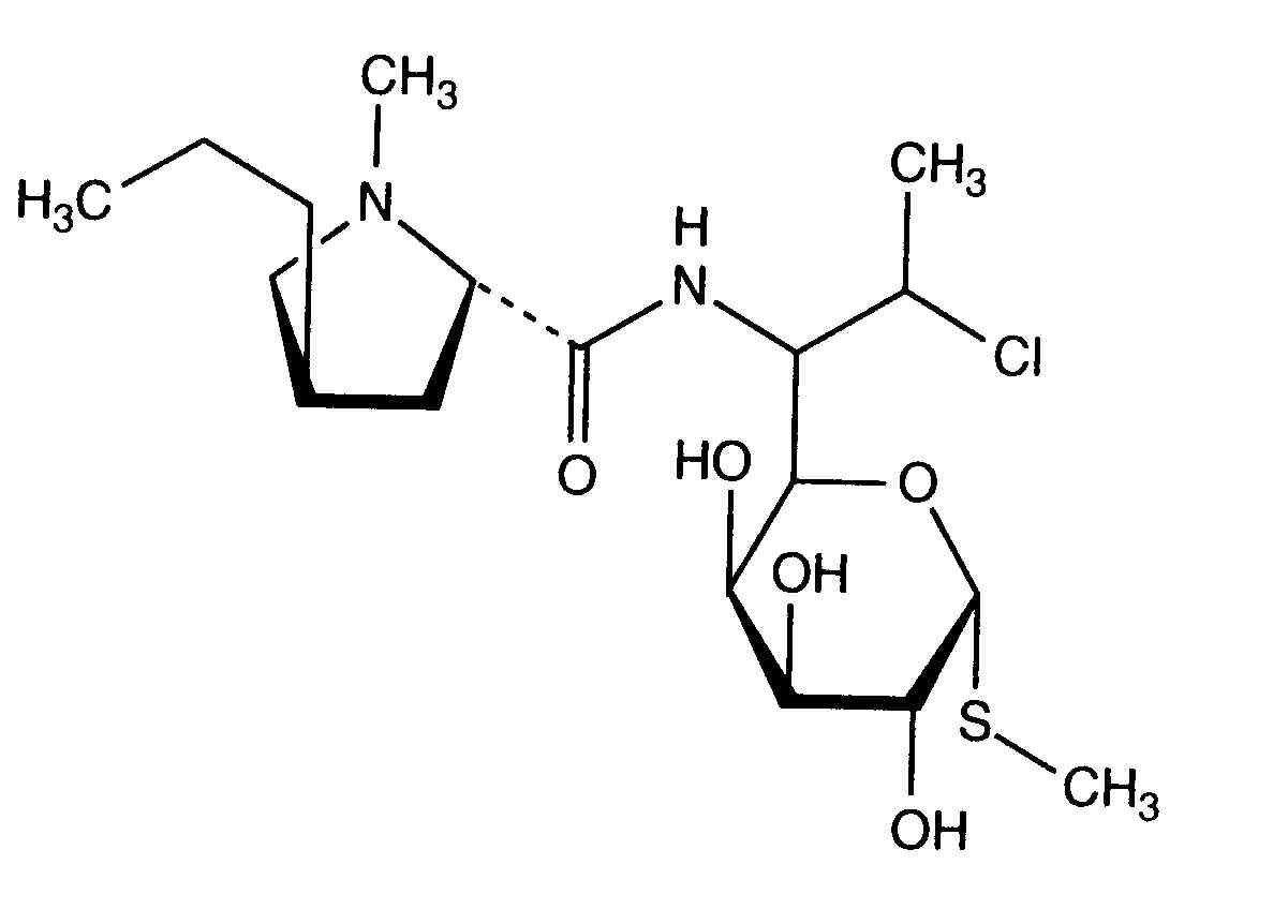
   Struttura chimica  

Soluzione orale
Stabilità dei preparati farmaceutici   Soluzione orale   Stabilità dei preparati farmaceutici : Clindamycine hydrochloride     
contenitore Origine eccipiente Temperatura Conservazione Durata della stabilità Bibliografia
Non precisato polvere 50 mg
® = ?
Suspendit® >> 5 mL
2-8°C Al riparo dalla luce
180 Giorno
3901

Non precisato polvere 50 mg
® = ?
Suspendit® >> 5 mL
25°C Al riparo dalla luce
45 Giorno
3901


  Mentions Légales