آخر تحديث :
31/03/2026
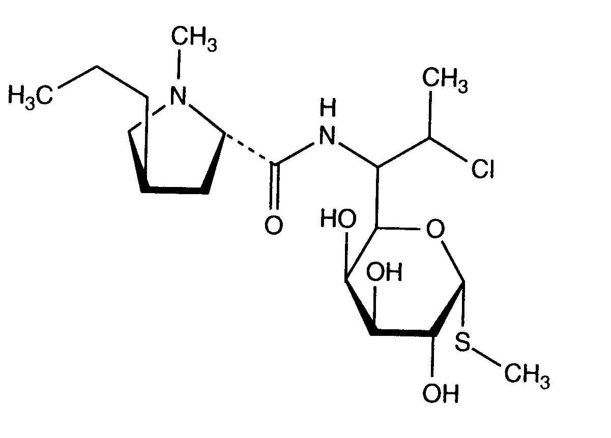
مضاد حيوي   Clindamycine hydrochloride  
عن طريق الفم
استقرار المستحضرات الصيدلانية استقرار مخاليط العوامل التي تؤثر على الاستقرار التوافق مراجع pdf
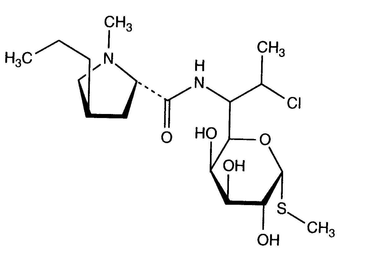
   التركيب الكيميائي  

عن طريق الفم
استقرار المستحضرات الصيدلانية   عن طريق الفم     استقرار المستحضرات الصيدلانية : Clindamycine hydrochloride     
حاوية Origine الاضافات درجة الحرارة تخزين مدة الاستقرار مراجع
لم يتم تحديد مسحوق 50 mg
® = ?
Suspendit® >> 5 mL
2-8°C بعيدا عن الضوء
180 يوم
3901

لم يتم تحديد مسحوق 50 mg
® = ?
Suspendit® >> 5 mL
25°C بعيدا عن الضوء
45 يوم
3901


  Mentions Légales