Last update :
31/03/2026
Antibiotic   Clindamycine hydrochloride  
Oral solution
Stability of pharmaceutical preparations Stability of mixtures Factors which affect stability Compatibility References pdf
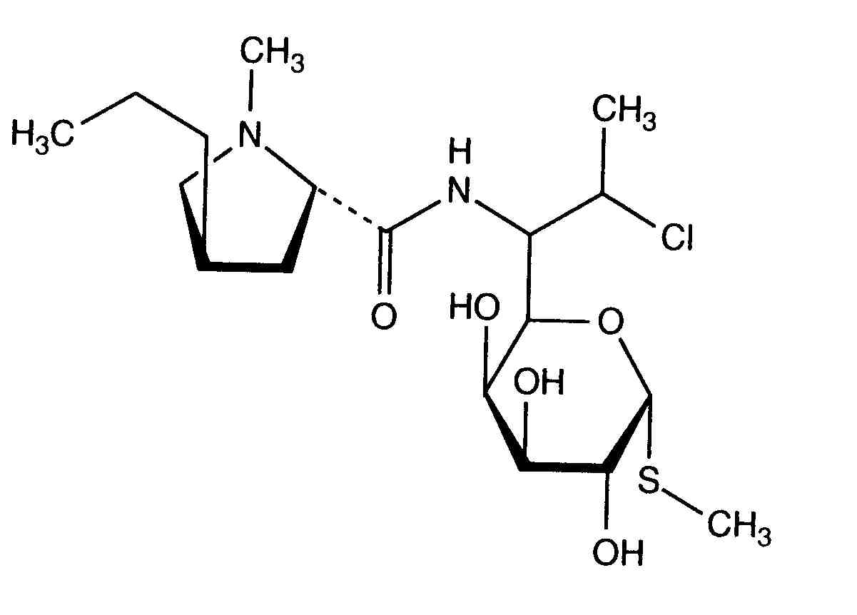
   Chemical structure  

Oral solution
Stability of pharmaceutical preparations   Oral solution   Stability of pharmaceutical preparations : Clindamycine hydrochloride     
Container Origine excipient Temperature Storage Duration of stability References
Not specified powder 50 mg
® = ?
Suspendit® >> 5 mL
2-8°C Protect from light
180 Day
3901

Not specified powder 50 mg
® = ?
Suspendit® >> 5 mL
25°C Protect from light
45 Day
3901


  Mentions Légales