Seneste opdatering :
31/03/2026
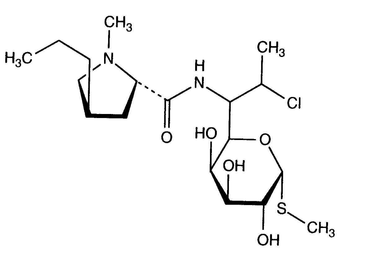
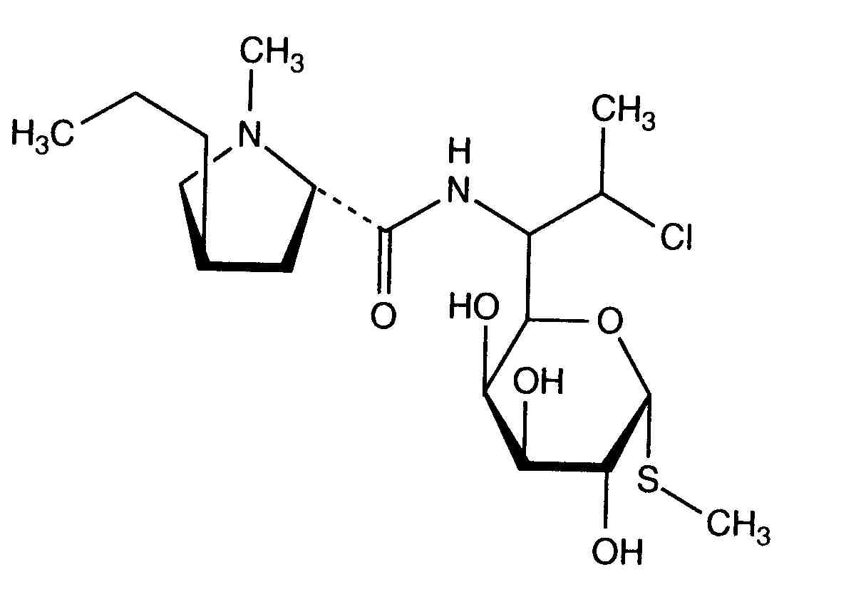
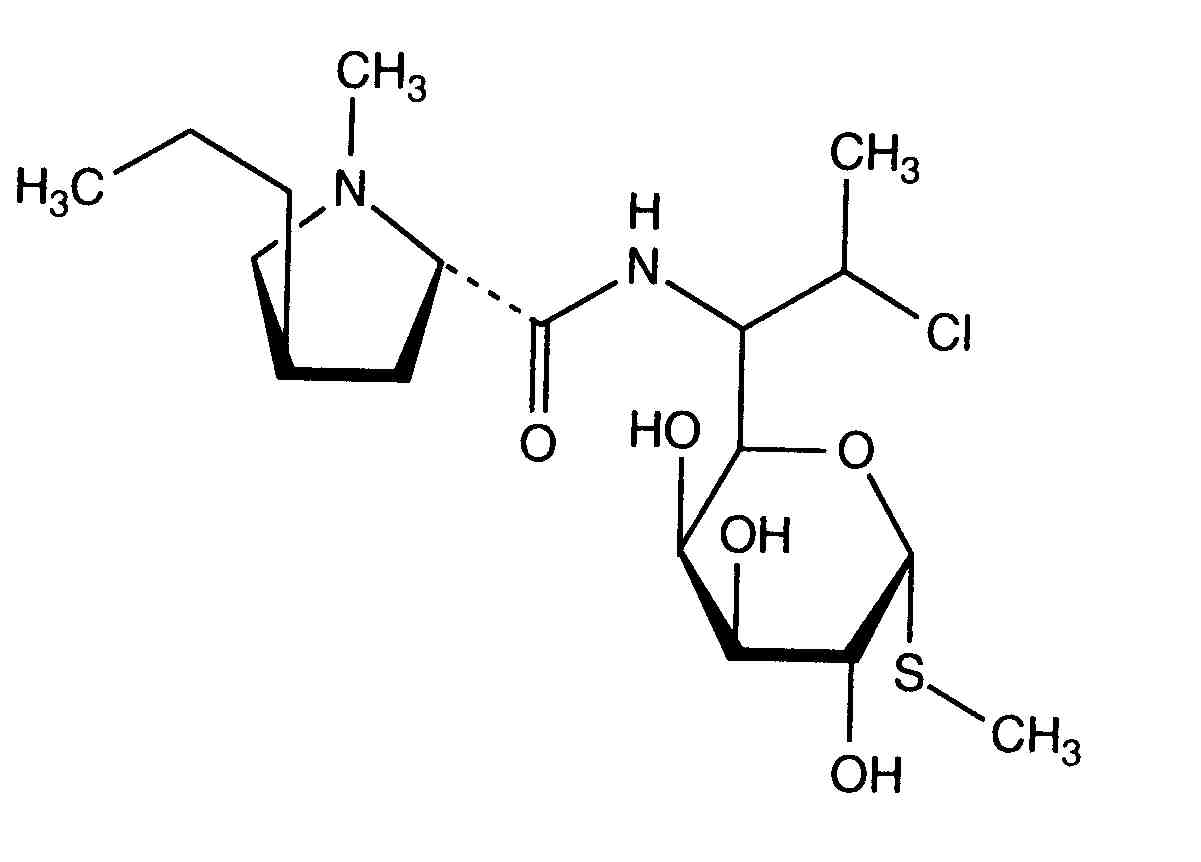
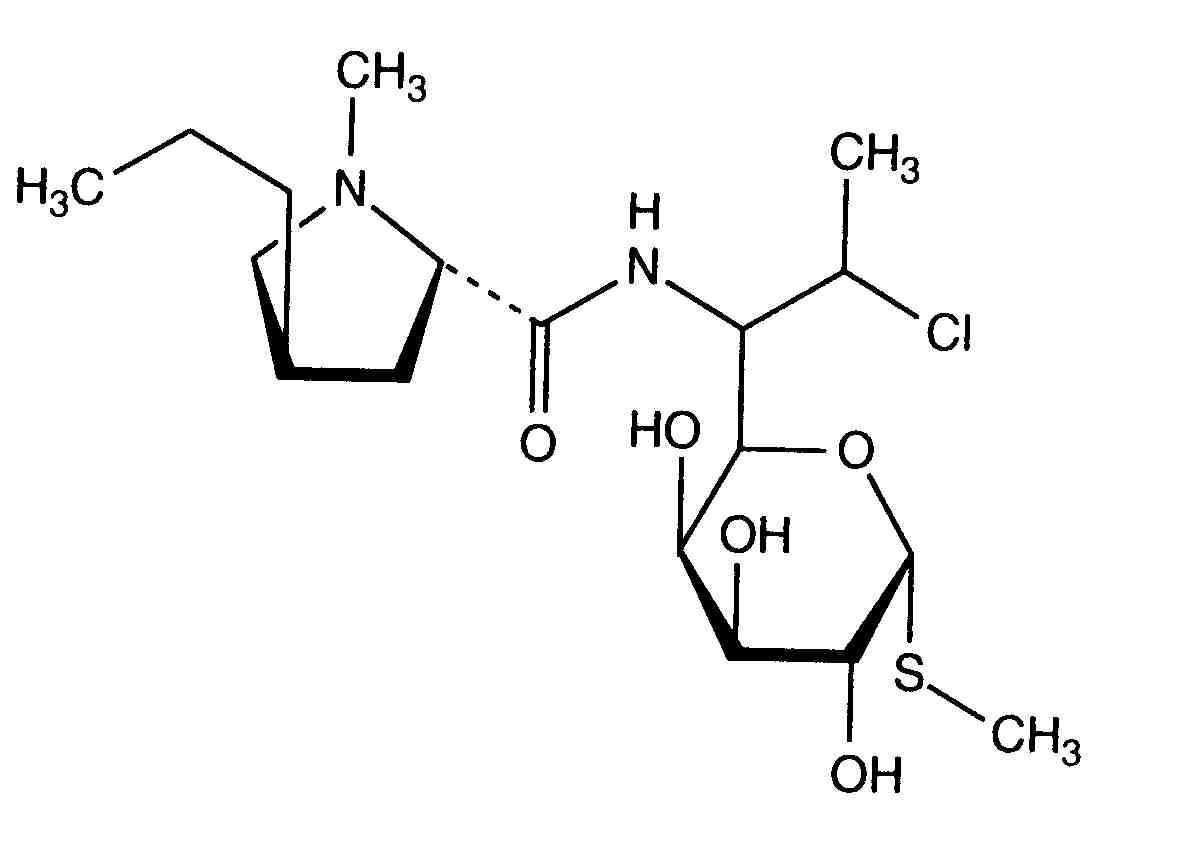
Antibiotisk   Clindamycine hydrochloride  
Oral opløsning
Stabilitet af farmaceutiske tilberedninger Stabilitet i blandinger Faktorer der påvirker stabiliteten Kompatibilitet Bibliografi pdf
   Kemisk struktur  

Oral opløsning
Stabilitet af farmaceutiske tilberedninger   Oral opløsning   Stabilitet af farmaceutiske tilberedninger : Clindamycine hydrochloride     
Beholder Origine Hjælpestof Temperatur Konservering Varighed af stabilitet Bibliografi
Ikke angivet nærmere Pulver 50 mg
® = ?
Suspendit® >> 5 mL
2-8°C Beskyt mod lys
180 Dag
3901

Ikke angivet nærmere Pulver 50 mg
® = ?
Suspendit® >> 5 mL
25°C Beskyt mod lys
45 Dag
3901


  Mentions Légales