Son güncelleme :
18/03/2026
kanser ilaç   Cyclophosphamide  
Kapsül
Enjeksiyon Oral solüsyon / oral çözelti
Farmasötik preparatlar Kararlılığı Karışımlardaki stabilitesi Stabiliteyi etkileyen faktörler Uyumluluk Kaynaklar pdf
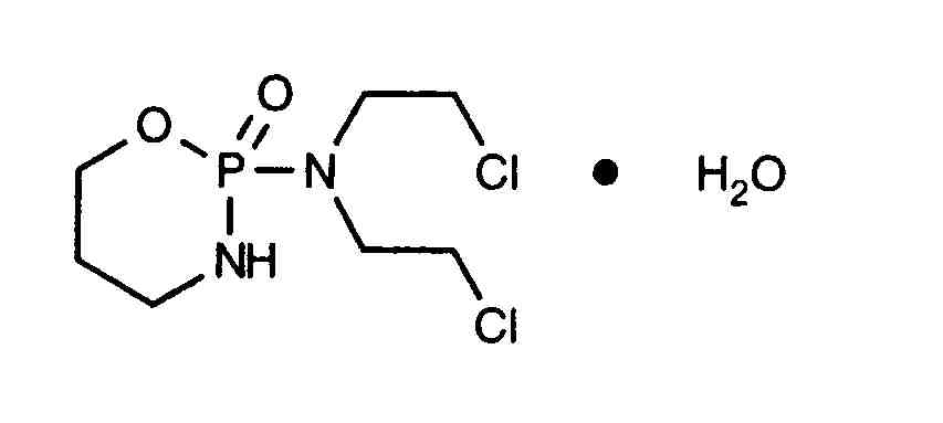
   Kimyasal yapı   

Kapsül
Farmasötik preparatlar Kararlılığı   Kapsül   Farmasötik preparatlar Kararlılığı : Cyclophosphamide     
Saklama kabı Origine yardımcı madde Isı Saklama    Stabilite süresi Kaynaklar
Belirtilmemiş Kapsüller 10 mg
Endoxan®
Laktoz >>
? Belirtilmemiş
70 Gün
2000


  Mentions Légales