Dernière mise à jour :
18/03/2026
Anticancéreux   Cyclophosphamide  
Gélule
injectable Solution buvable
Stabilité des préparations Stabilité en mélange Facteur influençant la stabilité Compatibilités Bibliographie pdf
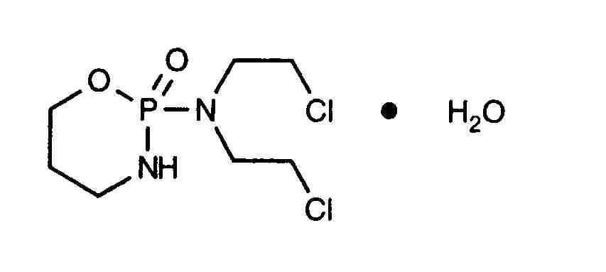
   Structure chimique  

Gélule
Stabilité des préparations   Gélule   Stabilité des préparations : Cyclophosphamide     
Contenant Origine Excipient Température Conservation Durée de stabilité Bibliographie
Non précisé Gélules 10 mg
Endoxan®
Lactose >>
? Non précisée
70 Jour
2000


  Mentions Légales