Последно актуализиране :
05/12/2025
противораково лекарство   Cyclophosphamide  
Капсула
Инжекция/Инжекционен Орален разтвор
Стабилност на лекарствени препарати Стабилност на смеси Фактори, повлияващи стабилността Съвместимост Библиография Pdf
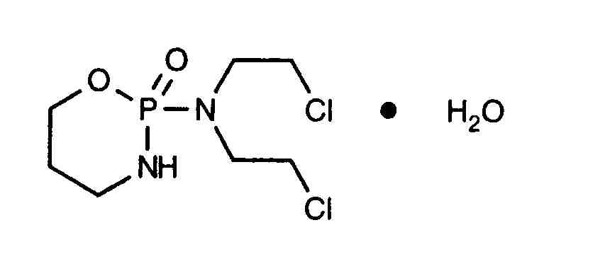
   Химична структура  

Капсула
Стабилност на лекарствени препарати   Капсула   Стабилност на лекарствени препарати : Cyclophosphamide     
Контейнер Origine Помощно вещество Температура Съхранение Продължителност на стабилността Библиография
Не е уточнено Капсула 10 mg
Endoxan®
Лактоза >>
? Не е уточнено
70 Ден
2000


  Mentions Légales