Ultimele actualizari :
18/03/2026
Citostatic   Cyclophosphamide  
Capsulă
Injectabil Soluţie orală
Stabilitatea preparatelor farmaceutice Stabilitatea in amestec Factorii care influenteaza stabilitatea Compatibilitate Bibliografie pdf
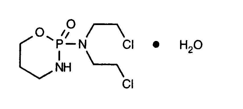
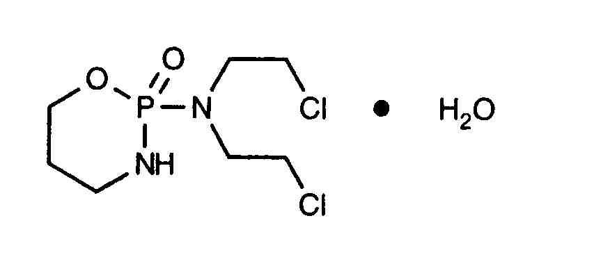
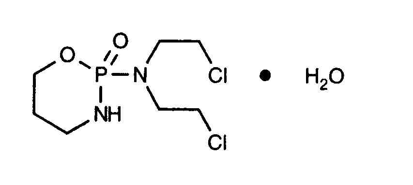
   Formula chimica  

Capsulă
Stabilitatea preparatelor farmaceutice   Capsulă   Stabilitatea preparatelor farmaceutice : Cyclophosphamide     
Continut Origine Excipient Temperatura Conservare Durata stabilității Bibiografie
neprecizat capsule 10 mg
Endoxan®
lactoză >>
? Neprecizat
70 Ziua
2000


  Mentions Légales