Ostatnia aktualizacja :
05/12/2025
Lek cytostatyk   Cyclophosphamide  
Kapsułka
Injekcje Roztwór doustny
Stabilność preparatów farmaceutycznych Trwałość w mieszaninie Czynnik wpływający na trwałość Zgodność Bibliografia pdf
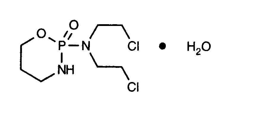
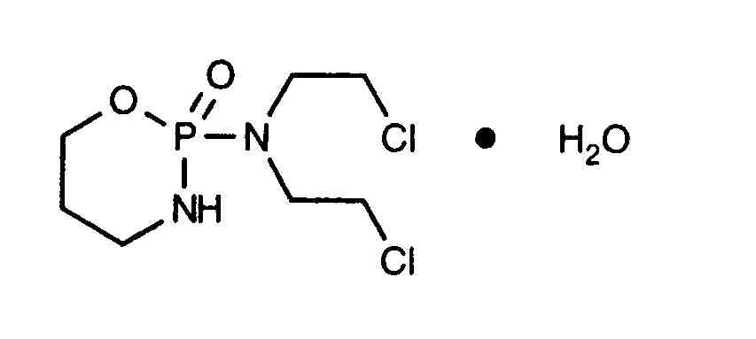
   Struktura chemiczna  

Kapsułka
Stabilność preparatów farmaceutycznych   Kapsułka   Stabilność preparatów farmaceutycznych : Cyclophosphamide     
Pojemnik Origine Substancja pomocniczna Temperatura Przechowywanie Czas trwania stabilności Bibliografia
Brak informacji Kapsułki 10 mg
Endoxan®
laktoza >>
? Nie wyszczególniony
70 Dzień
2000


  Mentions Légales