Seneste opdatering :
05/12/2025
Infostab
Lister
Bversigter
Søg efter kompatibilitet
Y-site kompatibilitetstabel
Bibliografi
forskerhold
valistab
Poster
Links
sponsorer
Forfatter
Brugervejledning
Nyhedsbrev
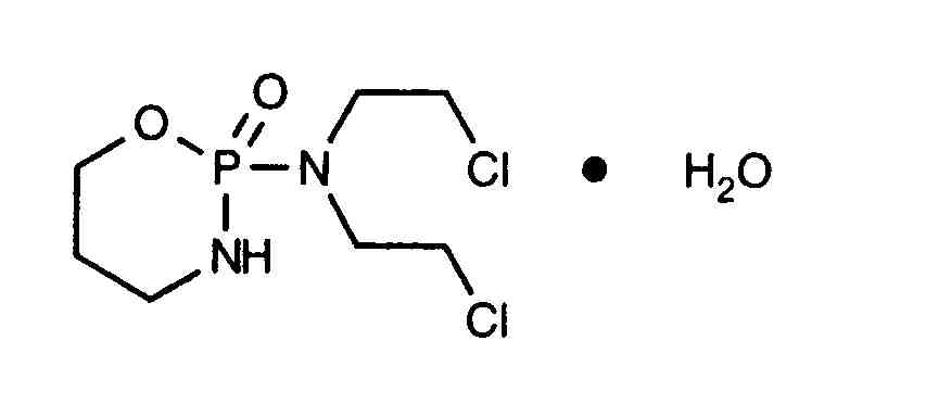
Cyclophosphamide
Kemisk struktur
Stabilitet af farmaceutiske tilberedninger : Cyclophosphamide
10 mg
Endoxan®
Laktose
>>
?
70
2000
Mentions Légales