Siste oppdatering :
18/03/2026
kreft narkotika   Cyclophosphamide  
Kapsel
Injeksjon Mikstur
Stabilitet av farmasøytiske preparater Stabilitet i blandinger Faktorer som påvirker stabiliteten Kompatibilitet Referanser pdf
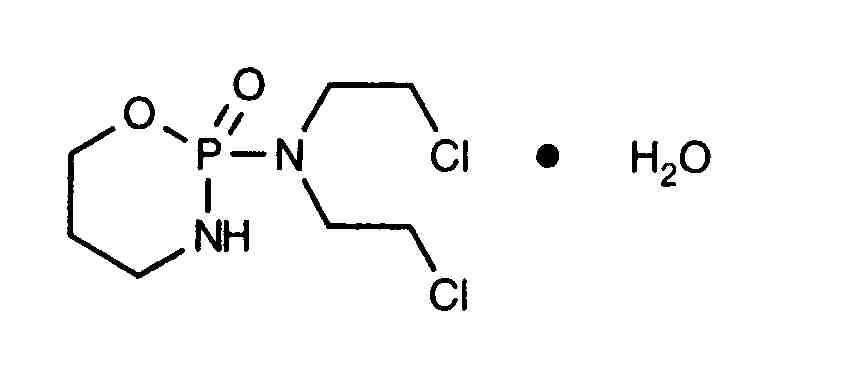
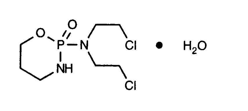
   Kjemisk struktur  

Kapsel
Stabilitet av farmasøytiske preparater   Kapsel   Stabilitet av farmasøytiske preparater : Cyclophosphamide     
Beholder Origine Hjelpestoff Temperatur Oppbevaring Varighet av stabilitet Referanser
Ikke angitt Kapsler 10 mg
Endoxan®
Laktose >>
? Ikke angitt
70 Dag
2000


  Mentions Légales