|
Вид |
Публикация |
| 3 |
Списание |
Trissel LA, Martinez JF. Compatibility of amifostine with selected drugs during simulated Y-site administration. Am J Health-Syst Pharm 1995 ; 52: 2208-2212. |
| 12 |
Списание |
Owens LC, Fleming RA, Restino MS, Cruz JM, Hurd DD. Stability of amphotericin B 0.05 and 0.5 mg/ml in 20% fat emulsion. Am J Health-Syst Pharm 1997 ; 54: 683-686. |
| 36 |
Списание |
Alex S, Gupta SL, Minor JR, Turcovski-Corrales S, Gallelli JF, Taub D, Piscitelli SC. Compatibility and activity of aldesleukin (recombinant interleukin-2) in presence of selected drugs during simulated Y-site administration: Evaluation of three methods. Am J Health-Syst Pharm 1995 ; 52: 2423-2426. |
| 59 |
Списание |
Trissel LA, Gilbert DL, Martinez JF, Kim MC. Compatibility of remifentanil hydrochloride with selected drugs during simulated Y-site administration. Am J Health-Syst Pharm 1997 ; 54: 2192-2196. |
| 73 |
Списание |
Lor E, Takagi J. Visual compatibility of foscarnet with other injectable drugs. Am J Hosp Pharm 1990 ; 47: 157-159. |
| 81 |
Списание |
Trissel LA, Martinez JF. Compatibility of piperacillin sodium plus tazobactam with selected drugs during simulated Y-site injection. Am J Hosp Pharm 1994 ; 51: 672-678. |
| 84 |
Списание |
Trissel LA, Martinez JF. Visual, turbidimetric, and particle-content assessment of compatibility of vinorelbine tartrate with selected drugs during simulated Y-site injection. Am J Hosp Pharm 1994 ; 51: 495-499. |
| 99 |
Списание |
Trissel LA, Martinez JF. Compatibility of aztreonam with selected drugs during simulated Y-site administration. Am J Health-Syst Pharm 1995 ; 52: 1086-1090. |
| 169 |
Списание |
Trissel LA, Martinez JF. Physical compatibility of melphalan with selected drugs during simulated Y-site administration. Am J Hosp Pharm 1993 ; 50: 2359-2363. |
| 182 |
Списание |
Trissel LA, Gilbert DL, Martinez JF. Compatibility of granisetron hydrochloride with selected drugs during simulated Y-site administration. Am J Health-Syst Pharm 1997 ; 54: 56-60. |
| 198 |
Списание |
Gayed AA, Kheshary PR, Hinkle RL. Visual compatibility of diltiazem injection with various diluents and medications during simulated Y-site injection. Am J Health-Syst Pharm 1995 ; 52: 516-520. |
| 201 |
Списание |
Thompson DF, Allen LV, Stiles ML. Visual compatibility of enalaprilate with selected intravenous medications during simulated Y-site injection. Am J Hosp Pharm 1990 ; 47: 2530-2531. |
| 215 |
Списание |
Keyi X, Gagnon N, Bisson C, Desmarais M, LeBel M. Stability of famotidine in polyvinyl chloride minibags and polypropylene syringes and compatibility of famotidine with selected drugs. Ann Pharmacotherapy 1993 ; 27: 422-426. |
| 244 |
Списание |
Trissel LA, Martinez JF. Compatibility of filgrastim with selected drugs during simulated Y-site administration. Am J Hosp Pharm 1994 ; 51: 1907-1913. |
| 248 |
Списание |
Trissel LA, Martinez JF. Turbidimetric assessment of the compatibility of taxol with 42 other drugs during simulated Y-site injection. Am J Hosp Pharm 1993 ; 50: 300-304. |
| 249 |
Списание |
Trissel LA, Martinez JF. Compatibility of thiotepa (lyophilized) with selected drugs during simulated Y-site administration. Am J Health-Syst Pharm 1996 ; 53: 1041-1045. |
| 251 |
Списание |
Trissel LA, Gilbert DL, Martinez JF. Compatibility of doxorubicin hydrochloride liposome injection with selected other drugs during simulated Y-site administration. Am J Health-Syst Pharm 1997 ; 54: 2708-2713. |
| 253 |
Списание |
Trissel LA, Chandler SW, Folstad JT. Visual compatibility of amsacrine with selected drugs during simulated Y-site injection. Am J Hosp Pharm 1990 ; 47: 2525-2528. |
| 256 |
Списание |
Inagaki K, Takagi J, Lor E, Lee KJ, Nii L, Gill MA. Stability of fluconazole in commonly used intravenous antibiotic solutions. Am J Hosp Pharm 1993 ; 50: 1206-1208. |
| 265 |
Списание |
Trissel LA. Amphotericin B does not mix with fat emulsion. Am J Health-Syst Pharm 1995 ; 52: 1463-1464. |
| 266 |
Списание |
Patel PR. Compatibility of meropenem with commonly used injectable drugs. Am J Health-Syst Pharm 1996 ; 53: 2853-2855. |
| 270 |
Списание |
Heide PE. Precipitation of amphotericin B from IV fat emulsion. Am J Health-Syst Pharm 1997 ; 54: 1449. |
| 280 |
Списание |
Allen LV, Stiles ML, Prince SJ, Sylvestri MF. Stability of cefpirome sulfate in the presence of commonly used intensive care drugs during simulated Y-site injection. Am J Health-Syst Pharm 1995 ; 52: 2427-2433. |
| 283 |
Списание |
Lee MD, Hess MM, Boucher BA, Apple AM. Stability of amphotericin B in 5% dextrose injection stored at 4 or 25°C for 120 hours. Am J Hosp Pharm 1994 ; 51: 394-396. |
| 285 |
Списание |
Elmore RL, Contois ME, Kelly J, Noe A, Poirier A. Stability and compatibility of admixtures of intravenous ciprofloxacin and selected drugs. Clin Ther 1996 ; 18: 246-255. |
| 299 |
Списание |
Trissel LA, Martinez JF, Gilbert DL. Compatibility of cisatracurium besylate with selected drugs during simulated Y-site administration. Am J Health-Syst Pharm 1997 ; 54: 1735-1741. |
| 300 |
Списание |
Trissel LA, Gilbert DL, Martinez JF. Compatibility of propofol injectable emulsion with selected drugs during simulated Y-site administration. Am J Health-Syst Pharm 1997 ; 54: 1287-1292. |
| 301 |
Списание |
Trissel LA, Gilbert DL, Martinez JF, Baker MB, Walter WV, Mirtallo JM. Compatibility of parenteral nutrient solutions with selected drugs during simulated Y-site administration. Am J Health-Syst Pharm 1997 ; 54: 1295-1300. |
| 307 |
Списание |
Trissel LA, Martinez JF. Compatibility of allopurinol sodium with selected drugs during simulated Y-site administration. Am J Hosp Pharm 1994 ; 51: 1792-1799. |
| 334 |
Списание |
Trissel LA, Tramonte SM, Grilley BJ. Visual compatibility of ondansetron hydrochloride with selected drugs during simulated Y-site injection. Am J Hosp Pharm 1991 ; 48: 988-992. |
| 335 |
Списание |
Trissel LA, Bready BB, Kwan JW, Santiago NM. Visual compatibility of sargramostim with selected antineoplasic agents, anti-infectives, or other drugs during simulated Y-site injection. Am J Hosp Pharm 1992 ; 49: 402-406. |
| 337 |
Списание |
Bashaw ED, Amantea MA, Minor JR, Galleli JF. Visual compatibility of zidovudine with other drugs during simulated Y-site administration. Am J Hosp Pharm 1988 ; 45: 2532-2533. |
| 435 |
Списание |
Wiest DB, Maish WA, Garner SS, El-Chaar GM. Stability of amphotericin B in four concentrations of dextrose injection. Am J Hosp Pharm 1991 ; 48: 2430-2433. |
| 436 |
Списание |
Mitrano FP, Outman WR, Baptista RJ, Palombo JD. Chemical and visual stability of amphotericin B in 5% dextrose injection stored at 4°C for 35 days. Am J Hosp Pharm 1991 ; 48: 2635-2637. |
| 439 |
Списание |
Kintzel PE, Kennedy PE. Stability of amphotericin B in 5% dextrose injection at concentrations used for administration through a central venous line. Am J Hosp Pharm 1991 ; 48: 283-285. |
| 479 |
Списание |
Min DI, Brown T, HWang GC. Visual compatibility of tacrolimus with commonly used drugs during simulated Y-site injection. Am J Hosp Pharm 1992 ; 49: 2964-2966. |
| 492 |
Списание |
Trissel LA, Parks NPT, Santiago NM. Visual compatibility of fludarabine phosphate with antineoplastic drugs, anti-infectives, and other selected drugs during simulated Y-site injection. Am J Hosp Pharm 1991 ; 48: 2186-2189. |
| 496 |
Списание |
Lor E, Sheybani T, Takagi J. Visual compatibility of fluconazole with commonly used injectable drugs during simulated Y-site administration. Am J Hosp Pharm 1991 ; 48: 744-746. |
| 497 |
Списание |
Kintzel PE, Kennedy PE. Stability of amphotericin B in 5% dextrose injection at 25°C. Am J Hosp Pharm 1991 ; 48: 1681. |
| 604 |
Лаборатория |
Stabilité des médicaments dans l'Intermate® SV50, 100, 200 Baxter 1998 |
| 682 |
Списание |
Raymond GG, Davis RL. Physical compatibility and chemical stability of amphotericin B in combination with magnesium sulfate in 5% dextrose injection. Ann Pharmacotherapy 1991 ; 25: 123-126. |
| 793 |
Списание |
Ranch?re JY, Latour JF, Fuhrmann C, Lagallarde C, Loreuil F. Amphotericin B intralipid formulation: stability and particule size. J Antimicrob Chemother 1996 ; 37: 1165-1169. |
| 892 |
Списание |
Kintzel PE, Smith GH. Practical guidelines for preparing and administering amphotericin B. Am J Hosp Pharm 1992 ; 49: 1156-1164. |
| 905 |
Списание |
Trissel LA, Martinez JF. Screening teniposide for Y-site physical incompatibilities. Hosp Pharm 1994 ; 29: 1010-1017. |
| 984 |
Списание |
Ericsson O, Hallmen AC, Wikstrom I. Amphotericin B is incompatible with lipid emulsions. Ann Pharmacotherapy 1996 ; 30: 298. |
| 1057 |
Списание |
Cutie MR. Compatibility of verapamil hydrochloride injection with commonly used additives. Am J Hosp Pharm 1983 ; 40: 1205-1207. |
| 1135 |
Списание |
Baltz JK, Kennedy P, Minor JR, Gallelli J. Visual compatibility of foscarnet with other injectable drugs during simulated Y-site administration. Am J Hosp Pharm 1990 ; 47: 2075-2077. |
| 1172 |
Списание |
Jurgens RW, DeLuca PP, Papadimitriou D. Compatibility of amphotericin B with certain large-volume parenterals. Am J Hosp Pharm 1981 ; 38: 377-378. |
| 1201 |
Списание |
Yuhas EM, Lofton FT, Rosenberg HA, Mayron D, Baldinus JG. Cimetidine hydrochloride compatibility III: Room temperature stability in drug admixtures. Am J Hosp Pharm 1981 ; 38: 1919-1922. |
| 1410 |
Списание |
Trissel LA, Martinez JF, Simmons M. Compatibility of etoposide phosphate with selected drugs during simulated Y-site injection. J Am Pharm Assoc 1999 ; 39: 141-145. |
| 1415 |
Списание |
Trissel L.A, Gilbert D.L, Martinez J.F, Baker M.B, Walter W.V, Mirtallo J.M. Compatibility of medications with 3-in-1 parenteral nutrition admixtures. JPEN 1999 ; 23: 67-74. |
| 1423 |
Списание |
Trissel LA, Martinez JF, Gilbert DL. Compatibility of gemcitabine hyrochloride with 107 selected drugs during simulated Y-site injection. J Am Pharm Assoc 1999 ; 39: 514-518. |
| 1498 |
Списание |
Cleary JD. Amphotericin B formulated in a lipid emulsion. Ann Pharmacotherapy 1996 ; 30: 409-412. |
| 1611 |
Списание |
Chalmers JR, Bobek MB, Militello MA. Visual compatibility of amiodarone hydrochloride injection with various intravenous drugs. Am J Health-Syst Pharm 2001 ; 58: 504-506. |
| 1625 |
Списание |
Trissel LA, Saenz C, Williams YW, Ingram D. Incompatibilities of lansoprazole injection with other drugs during simulated Y-site coadministration. Int J Pharm Compound 2001 ; 5: 314-321. |
| 1703 |
Списание |
Schuster F, Bernard R. Kompatibilität von enalaprilat i.v. mit ausgewählten arzneimitteln. Krankenhauspharmazie 1995 ; 16: 101-103. |
| 1712 |
Списание |
Trissel LA, Saenz CA. Compatibility screening of Precedex during simulated Y-site administration with other drugs. Int J Pharm Compound 2002 ; 6: 230-233. |
| 1713 |
Списание |
Trissel LA, Saenz CA. Compatibility screening of bivalirudin during simulated Y-site administration with other drugs. Int J Pharm Compound 2002 ; 6: 311-315. |
| 1721 |
Списание |
Trissel LA, Williams KY, Baker MB. Compatibility screening of Hextend during simulated Y-site administration with other drugs. Int J Pharm Compound 2001 ; 5: 69-72. |
| 1754 |
Списание |
Trissel LA, Gilbert DL, Wolkin AC. Compatibility of docetaxel with selected drugs during simulated Y-site administration. Int J Pharm Compound 1999 ; 3: 241-244. |
| 1803 |
Списание |
Trissel, LA, Saenz CA, Ogundele OB, Ingram D, Baker MB. Compatibility of fenoldopam mesylate with other drugs during simulated Y-site administration. Am J Health-Syst Pharm 2003 ; 60: 80-85. |
| 1907 |
Списание |
Burger DE, Caldwell JW. Sustaining treatment of coccidioidal meningitidis by extending the stability of amphotericin B. Hosp Pharm 2004 ; 39: 554-557. |
| 1925 |
Списание |
Trissel LA , Williams KY, Gilbert DL. Compatibility screening of linezolid injection during simulated Y-site administration with other drugs and infusion solutions. J Am Pharm Assoc 2000 ; 40: 515-519. |
| 1953 |
Списание |
Trissel LA, Saenz CA, Ogundele AB, Ingram DS. Physical compatibility of pemetrexed disodium with other drugs during simulated Y-site administration. Am J Health-Syst Pharm 2004 ; 61: 2289-2293. |
| 1982 |
Списание |
Trissel LA, Ogundele AB. Compatibility of anidulafungin with other drugs during simulated Y-site administration. Am J Health-Syst Pharm 2005 ; 62: 834-837. |
| 2043 |
Списание |
Walker S, Tailor SAA, Lee M, Louie L, Louie M, Simor AE. Amphotericin B in lipid emulsion : stability, compatibility, and in vitro antifungal activity. Antimicrob Agents Chemother 1998 ; 42: 762-766. |
| 2090 |
Списание |
Pere H, Chasse V, Forest JM, Hildgen P. Compatibility of injectable pantoprazole in Y-site administration. Pharmactuel 2004 ; 37: 193-196. |
| 2247 |
Списание |
Chan P, Heatherly K, Kupiec T.C, Trissel L.A. Compatibility of caspofungin acetate injection with other drugs during simulated Y-site coadministration. Int J Pharm Compound 2008 ; 12, 3: 276-278. |
| 2262 |
Списание |
Brammer MK, Chan P, Heatherly K, Trusley C, Kupiec TC, Trissel LA, Psathas PA, Gilmor T, Schaufelberger D. Compatibility of doripenem with other drugs during simulated Y-site administratioN Am J Health-Syst Pharm 2008 ; 65: 1261-1265. |
| 2269 |
Списание |
Chan P, Bishop A, Kupiec TC, Trissel LA, Gole D, Jimidar IM, Vermeersch H. Compatibility of ceftobiprole medocaril with selected drugs during simulated Y-site administration. Am J Health-Syst Pharm 2008 ; 65, 16: 1545-1551. |
| 3152 |
Списание |
Kumar A, Mann HJ. Visual compatibility of oritavancin diphosphate with selected coadministered drugs during simulated Y-site administration. Am J Health-Syst Pharm 2010 ; 67: 1640-1644. |
| 3216 |
Списание |
Legris ME, Valiquette ME, Lavoie A, Forest JM, Leclair G. Compatibilité physique par évaluation visuelle du salbutamol injectable lors de son administration en Y. Pharmactuel 2011 ; 44, 1 : 14-18 |
| 3249 |
Списание |
Singh BM, Dedhiya MG, Dinunzio J, Chan P, Kupiec TC, Trissel LA, Laudano JB. Compatibility of ceftaroline fosamil for injection with selected drugs during simulated Y-site administration. Am J Health-Syst Pharm 2011 ; 68: 2163-2169. |
| 3254 |
Списание |
Housman S.T, Tessier P.R, Nicolau D.P, Kuti J.L. Physical compatibility of telavancin hydrochloride with select i.v. drugs during simulated Y-site administration Am J Health-Syst Pharm 2011 ; 68: 2265-2270. |
| 3332 |
Лаборатория |
Tigecycline (Tigacyl®) - Summary of Product characteristics Pfizer 2012 |
| 3408 |
Списание |
Tollec S, Touzin K, Pelletier E, Forest J.M. Evaluation visuelle de la compatibilité physique de la naloxone avec d’autres médicaments intraveineux usuels. Pharmactuel 2013 ; 46, 1 : 16-21. |
| 3539 |
Лаборатория |
Bivalirudin (Angiox®) - Summary of Product Characteristics. The Medecines Company 2013 |
| 3549 |
Лаборатория |
Amikacine B Braun - Résumé des caractéristiques du produit. B Braun 2012 |
| 3560 |
Лаборатория |
Linezolid (Zyvox®) - Summary of Product Characteristics Pharmacia 2013 |
| 3564 |
Лаборатория |
Rocuronium B Braun - Résumé des caractéristiques du produit. B Braun 2012 |
| 3585 |
Лаборатория |
Benzylpenicillin sodium - Summary of Product Characteristics Genus Pharmaceuticals 2008 |
| 3591 |
Лаборатория |
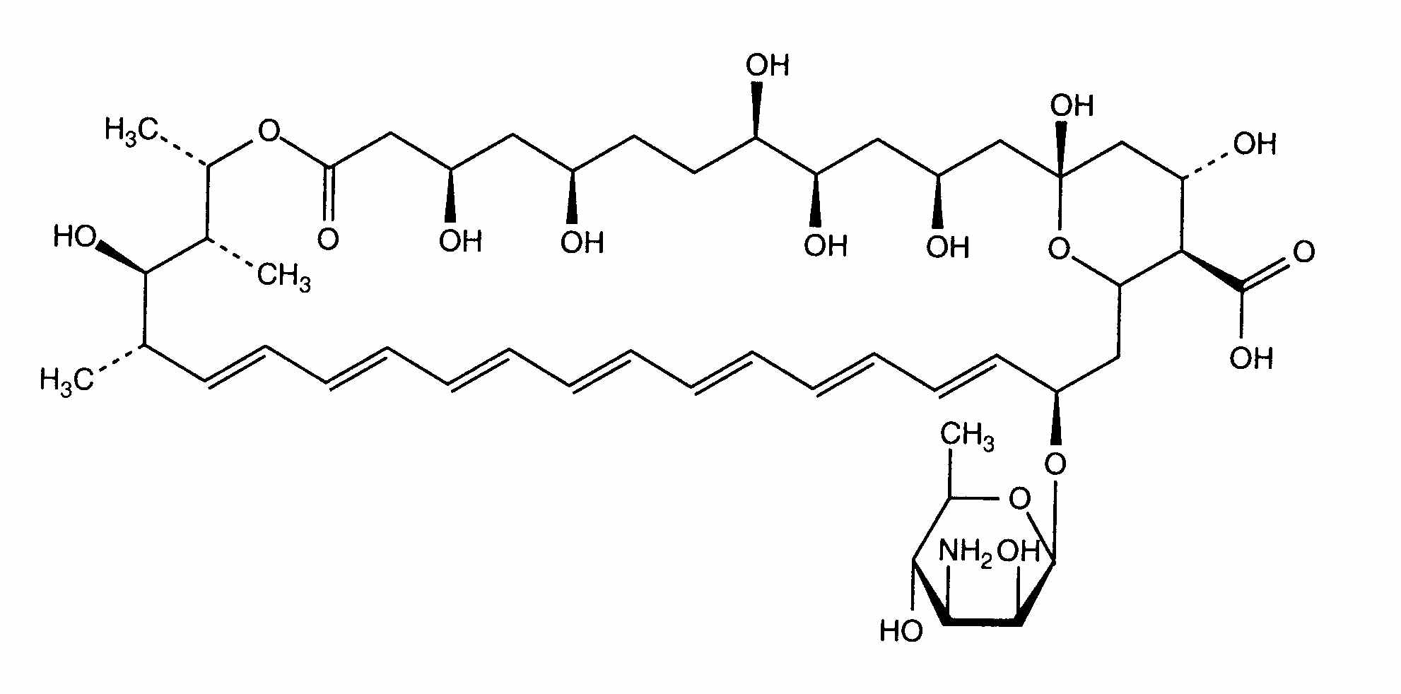
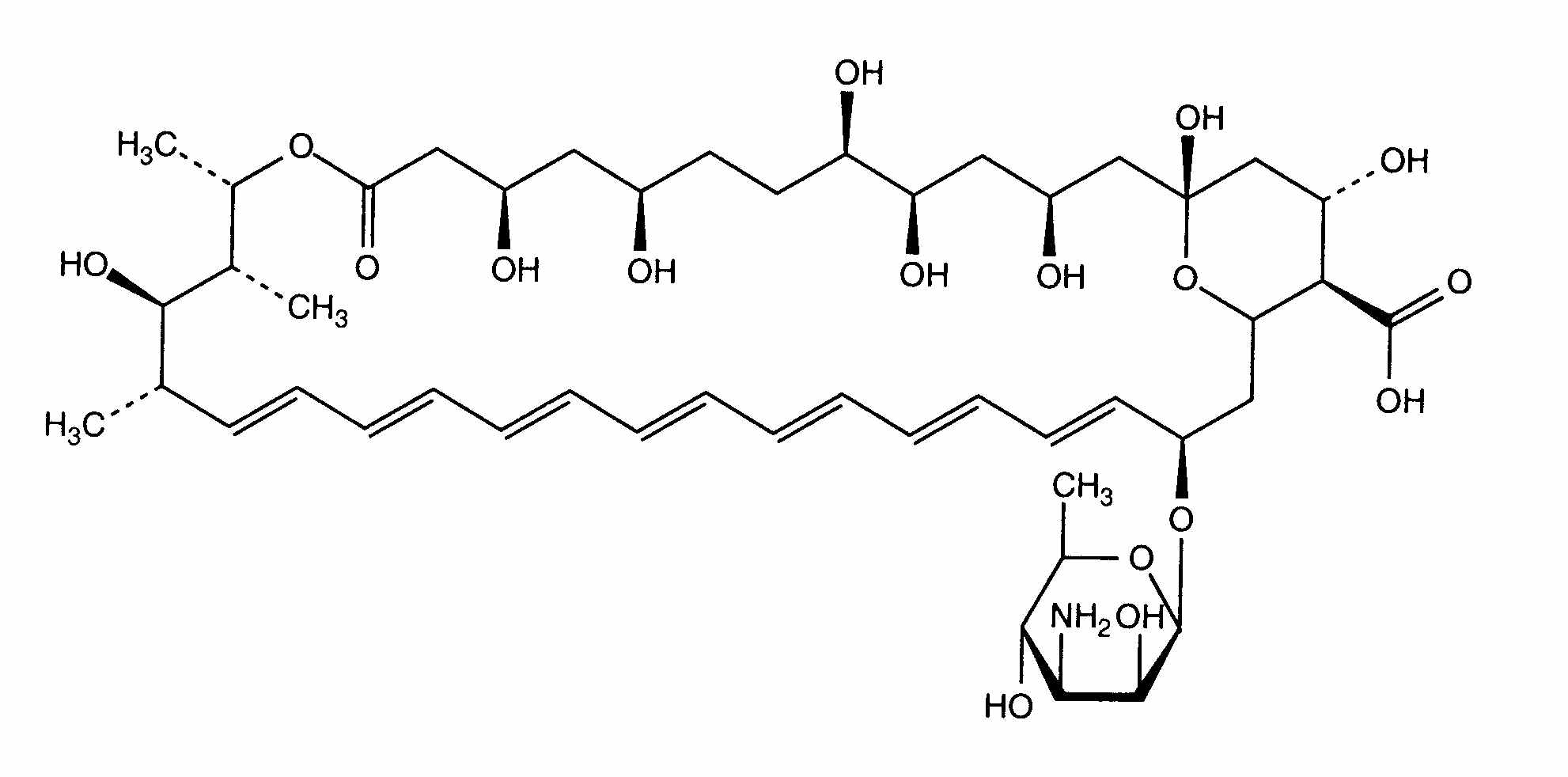
Amphotericine B (Fungizone®) - Résumé des caractéristiques du produit Bristol Myers Squibb 2011 |
| 3638 |
Лаборатория |
Dopamin (Dopamine 40 mg/mL sterile concentrate®) - Summary of Product Characteristics Hospira 2010 |
| 3644 |
Лаборатория |
Calcium gluconate® - Summary of Product Characteristics Hameln Pharmaceuticals 2010 |
| 3662 |
Лаборатория |
Foscavir (Foscarnet®) - Summary of Product Characteristics Clinigen 2014 |
| 3766 |
Списание |
Forrest J.M, Hildgen P. Compatibilité de l’acétylcystéine injectable lors de son administration en Y avec d’autres médicaments usuels Pharmactuel 2014 ; 47, 3 : 161-165. |
| 3767 |
Списание |
Legris M.E, Lavoie A, Forrest J.M, Hildgen P. Compatibilité par évaluation visuelle du thiopental injectable lors de son administration en Y avec des médicaments usuels. Pharmactuel 2014 ; 47, 3 : 167-172. |
| 3791 |
Плакат |
Sadou Yaye H, Burtet E, Hamel C, Aljhni R, Gard C, Tilleul P. Étude de la compatibilité physico-chimique du phloroglucinol injectable durant les mélanges au sein des tubulures en Y. Apifh Congress, Paris November 2014 2014 |
| 3828 |
Плакат |
Thabit A.K, Hamada Y, Nicolau D.P. Ceftozolane/tazobactam physical compatibility during simulated Y-site administration. ASHP Midyear 2015 |
| 3829 |
Плакат |
So W, Kim L, Thabit A.K, Nicolau D.P, Kuti J.L. Compatibility of isavunazonium sulfate during simulated Y-site administration. ASHP Midyear 2015 |
| 3869 |
Списание |
Sun P, Chen J, Zhang Z, Gao X, Chen P, Li X. Influence of 5% dextrose volume on amphotericin B deoxycholate preparation J Pharm Pharmacol 2016 ; 68: 433-438. |
| 3871 |
Плакат |
Soussi M.A, Soualah-alila R, jenene F, Lazreg O, Razgallah Khrouf M. Peut-on administrer le céfotaxime en Y avec d'autres médicaments injectables ? Synprefh Congress Clermont Ferrand, France 2016 |
| 3883 |
Лаборатория |
Ceftazidime - Résumé des caractéristiques du produit Arrow 2016 |
| 3968 |
Лаборатория |
Ringer lactate - Résumé des Caractéristiques du Produit Fresenius Kabi 2015 |
| 4055 |
Списание |
Monogue M, Almarzoky Abuhussain S, Kuti J, Nicolau D. Physical compatibility of fosfomycin for injection with select i.v. drugs during simulated Y-site administration. Am J Health-Syst Pharm 2018 , 75, 1:36-44 |
| 4145 |
Списание |
Asempa T.E, Avery L.M, Kidd J.M, Kuti J.L, Nicolau D.P. Physical compatibility of plazomicin with select i.v. drugs during simulated Y-site administration. Am J Health-Syst Pharm 2018 ;75,14:1048-1056 |
| 4528 |
Списание |
Lu J, Liu Q, Kupiec T, Vail H, Lunch L, Fam D, Vu N. Physical Compatibility of Cefiderocol with Selected Intravenous Drugs During Simulated Y-site Administration. Int J Pharm Compound 2021 ;25,1:52-61 |
| 4543 |
Списание |
Senarathna G, Strunk T, Petrovski M, Batty K. Physical compatibility of pentoxifylline and intravenous medications. Archives of Disease in Childhood 2018 ;104:292–295. |
| 4650 |
Лаборатория |
Ceftobiprole (Zevtera 500 mg powder for concentrate for solution for infusion.) Summary of Product Characteristics, Advanz Pharma updated 4 aug 2021. Advanz Pharma 2021 |
| 4837 |
Списание |
De Silva, D.T.N Petrovski M, Strunk T, Mukadam N, Page‑Sharp N, Moore B.R, Batty K.T. Physicochemical compatibility of caffeine citrate and caffeine base injections with parenteral medications used in neonatal intensive care settings. Eur J Clin Pharmacol 2024 ; 80:1079–1087. |
| 4845 |
Списание |
De Silva D.T.N, Strunk T, Petrovski M, Page-Sharp M, Moore B.R, Batty K.T. The Physicochemical Compatibility of Sildenafil Injection with Parenteral Medications Used in Neonatal Intensive Care Settings. Pharmaceutics 2024 ;1 6, 419. |
| 4867 |
Плакат |
Dazan D, Aït Taleb S, Laroyenne N, Hamam Y, Conreur L, Paoli-Lombardo R, Primas N, Lamy E, Castera-Ducros C, Curti C et al. Etude des compatibilités entre la nalbuphine et d'autres principes actifs pour optimiser leur administration en service de pédiatrie. CSH (SNPHPU) Congress sept 2024 2024 |
| 4964 |
Лаборатория |
GLUCONATE DE CALCIUM 10 % B.BRAUN, solution pour perfusion - Résumé des caractéristiques du produit. B BRAUN MELSUNGEN AG 2019 |
| 5046 |
Лаборатория |
Metaraminol 10 mg/ml Solution for Injection or Infusion - Package leaflet: Information for the user. Global Harvest Pharmaceuticals 2020 |
| 5060 |
Лаборатория |
Lidocaine Hydrochloride Injection B.P. 1.0% w/v - Summary of Product Characteristics Updated 09-Nov-2023 ADVANZ Pharma 2023 |
| 5097 |
Списание |
Paoli-Lombardo R, Arcani V, Dazan D, Castera-Ducros C, Esteve M-A, Roudot M, Wanert C, Ovaert C, Curti C, Vanelle P, Rathelot P Stability and physical compatibility of parenteral nalbuphine hydrochloride during continuous infusion in pediatrics. PlosOne 2025 ; e0330869. |