Senaste uppdateringen :
18/03/2026
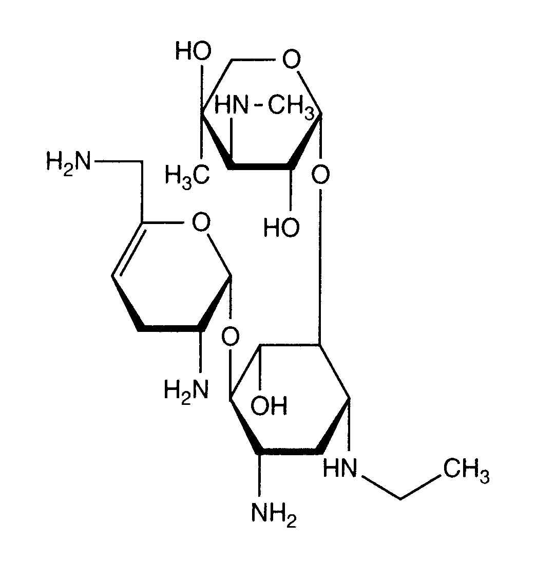
Antibiotikum   Netilmicin sulfate   
Aerosol
injektion
Stabilitet av läkemedel Stabilitet i blandningar Faktorer som påverkar stabiliteten Kompatibilitet Hänvisningar pdf
   Molekylstruktur  

Aerosol
Stabilitet av läkemedel   Aerosol   Stabilitet av läkemedel : Netilmicin sulfate      
Ingen uppgift

  Mentions Légales