zadnja posodobitev :
05/12/2025
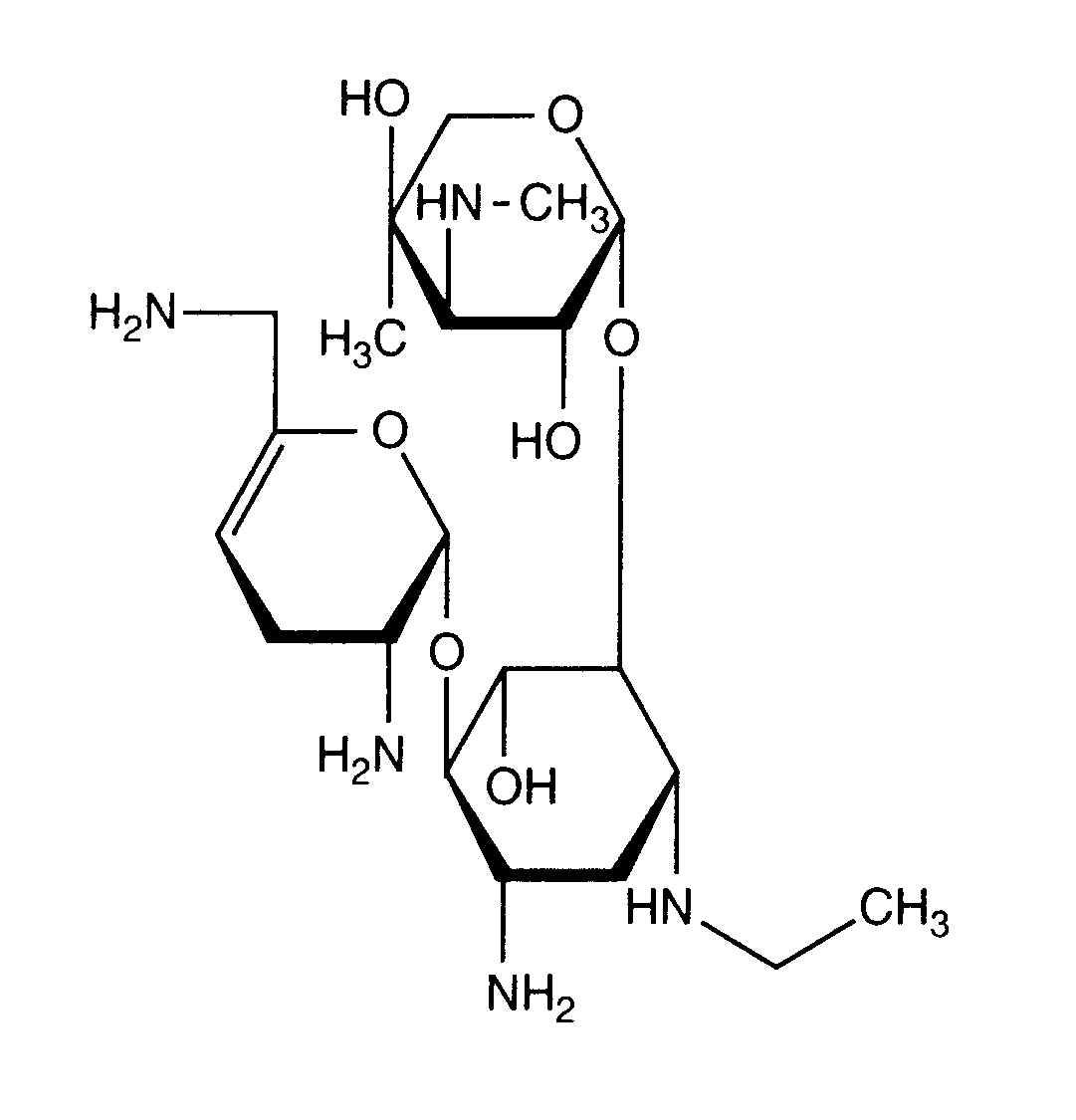
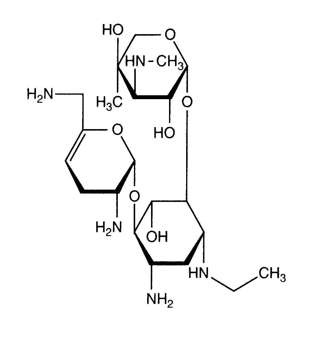
Antibiotik   Netilmicin sulfate   
Aerosol
Brizgalka
Stabilnost farmacevtskih preparatov Stabilnost mešanice Faktorji, ki vplivajo na stabilnost Kompatibilnost Viri pdf
   Kemična formula  

Aerosol
Stabilnost farmacevtskih preparatov   Aerosol   Stabilnost farmacevtskih preparatov : Netilmicin sulfate      
ni podatka

  Mentions Légales