Ultimo aggiornamento :
18/03/2026
Antibiotico   Netilmicin sulfate   
Aerosol
Iniezione
Stabilità dei preparati farmaceutici Stabilità in miscela Fattori che influenzano la stabilità Compatibilità Bibliografia pdf
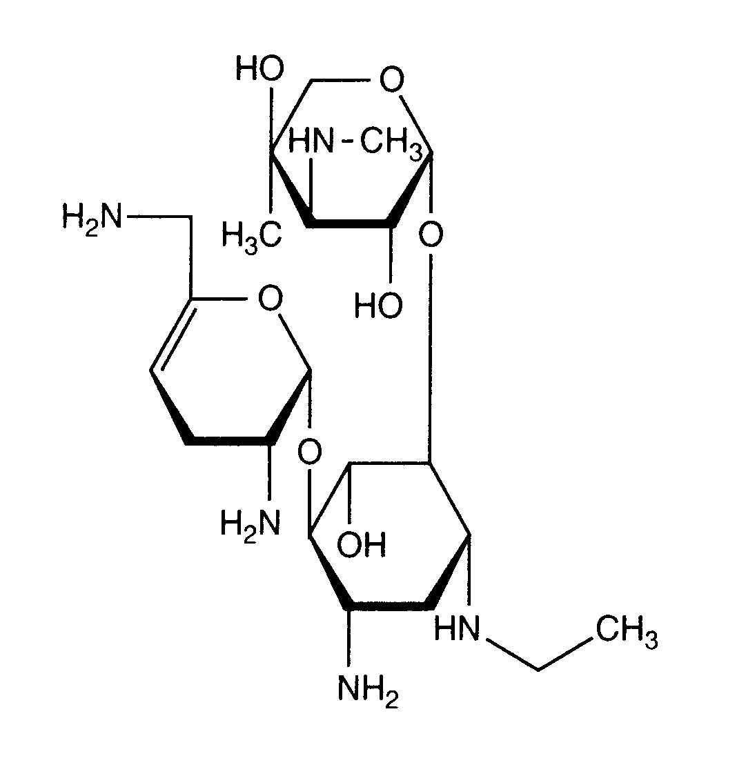
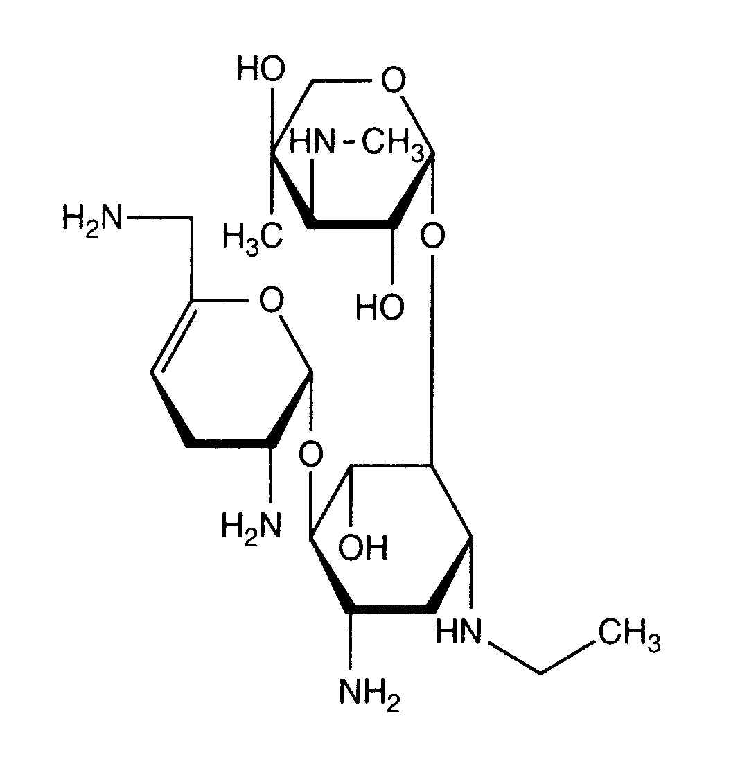
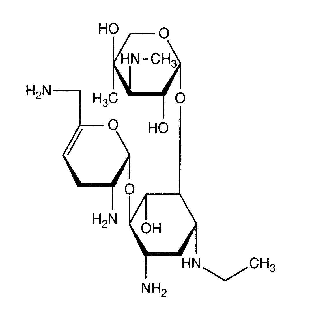
   Struttura chimica  

Aerosol
Stabilità dei preparati farmaceutici   Aerosol   Stabilità dei preparati farmaceutici : Netilmicin sulfate      
Assenza di dati

  Mentions Légales