Ultimele actualizari :
05/12/2025
Infostab
Listele
Listele
Cercetări de compatibilitate
Tabel de compatibilitate Y-site
Bibliografie
Echipe de cercetare
valistab
poster
Conexiuni
sponsori
Autor
Mod de utilizare
Newsletter
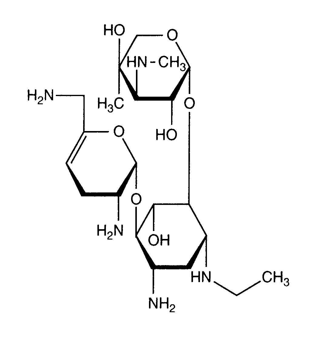
Netilmicin sulfate
Formula chimica
Stabilitatea preparatelor farmaceutice : Netilmicin sulfate
Absenta de date
Mentions Légales