Utolsó frissítés :
05/12/2025
Infostab
Listák
Összesítő lista
Kompatibilitások keresése
Y-site kompatibilitási táblázat
Irodalom
kutatócsoportok
valistab
poszter
Kapcsolatok
támogatók
Szerző
Felhasználói útmutató
Hírlevél
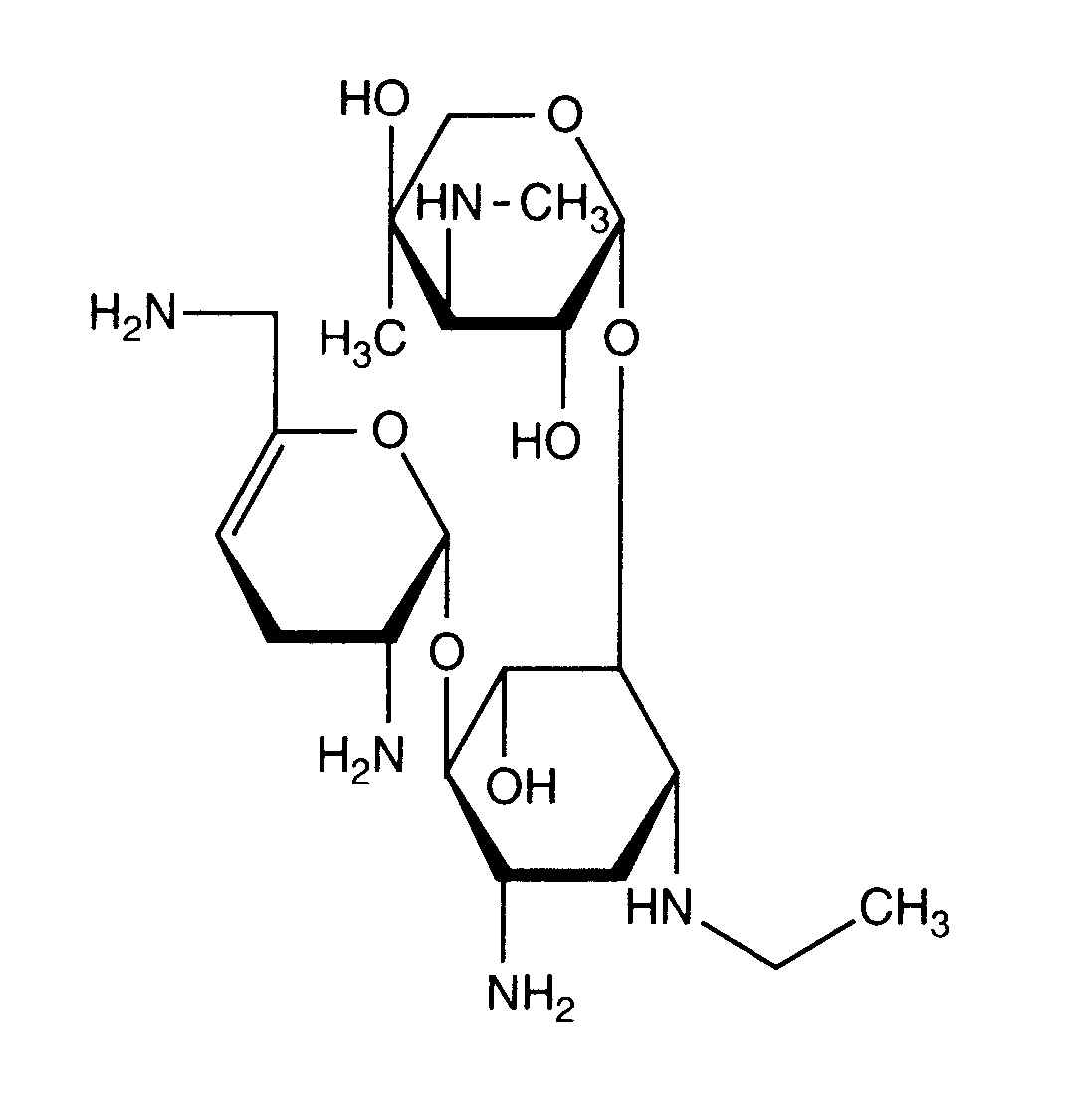
Netilmicin sulfate
Kémiai szerkezet
Stabilitása gyógyszerészeti készítmények : Netilmicin sulfate
Hiányzó adat
Mentions Légales