Letztes “update” :
18/03/2026
Antibiotikum   Netilmicin sulfate   
Aerosol
Injektion
Stabilität von pharmazeutischen Präparaten Gemengestabilität Stabilitätbeeinflussende Faktoren Kompatibilitäten Literaturverzeichnis pdf
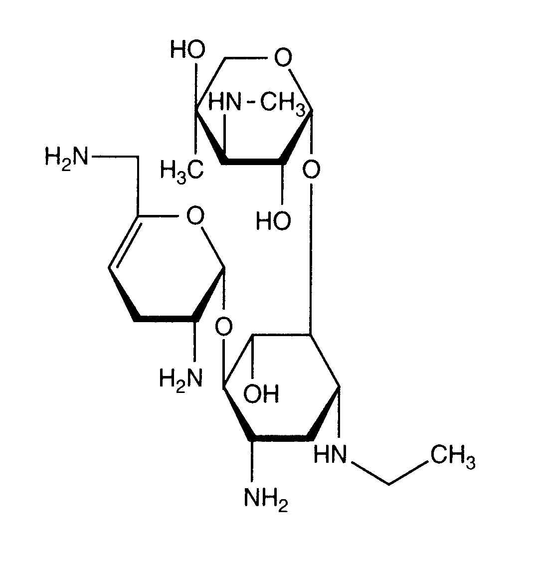
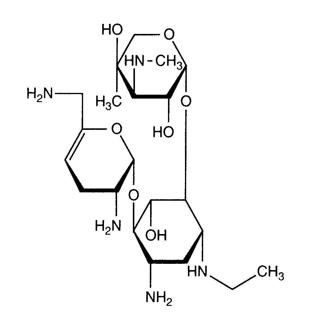
   Chemische Struktur  

Aerosol
Stabilität von pharmazeutischen Präparaten   Aerosol   Stabilität von pharmazeutischen Präparaten : Netilmicin sulfate      
Keine Daten

  Mentions Légales