Laatste update :
18/03/2026
Infostab
Stoffenlijst
Zoeken via pictogrammen
zoeken naar verenigbaarheden
Y-site verenigbaarheden tabel
Literatuur
onderzoeksgroepen
valistab
Poster
Verbindingen
sponsors
Auteur
Gebruiksaanwijzing
Nieuwsbrief
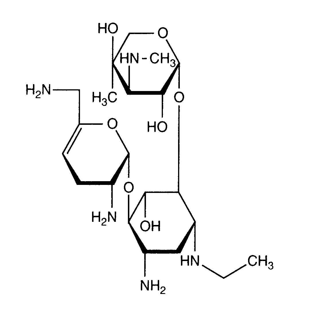
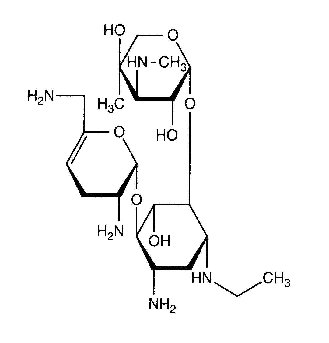
Netilmicin sulfate
Molecuulstructuur
Stabiliteit van farmaceutische preparaten : Netilmicin sulfate
geen gegevens
Mentions Légales