Последнее обновление :
18/03/2026
Infostab
Списки
Списки
Поиск совместимостей
Таблица совместимостей в Y-соединении систем
Библиография
Исследовательские группы
valistab
плакат
связи
спонсоры
Автор
Инструкция по эксплуатации
Информационый бюллетень
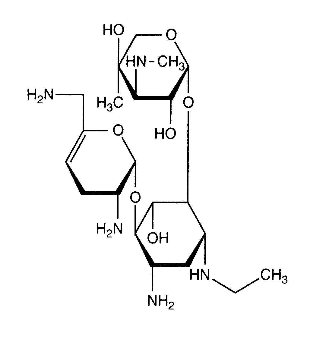
Netilmicin sulfate
Химическая структура
Стабильность фармацевтических препаратов : Netilmicin sulfate
данных нет
Mentions Légales