Viimeisin päivitys :
05/12/2025
Antibiootit   Netilmicin sulfate   
Aerosoli
Injektioneste
Vakaus lääkevalmisteen Stabilius seoksissa Tekijät, jotka vaikuttavat stabiliuteen Yhteensopivuus Viitteet pdf
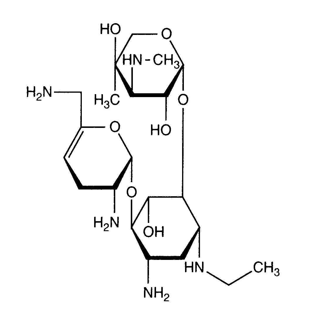
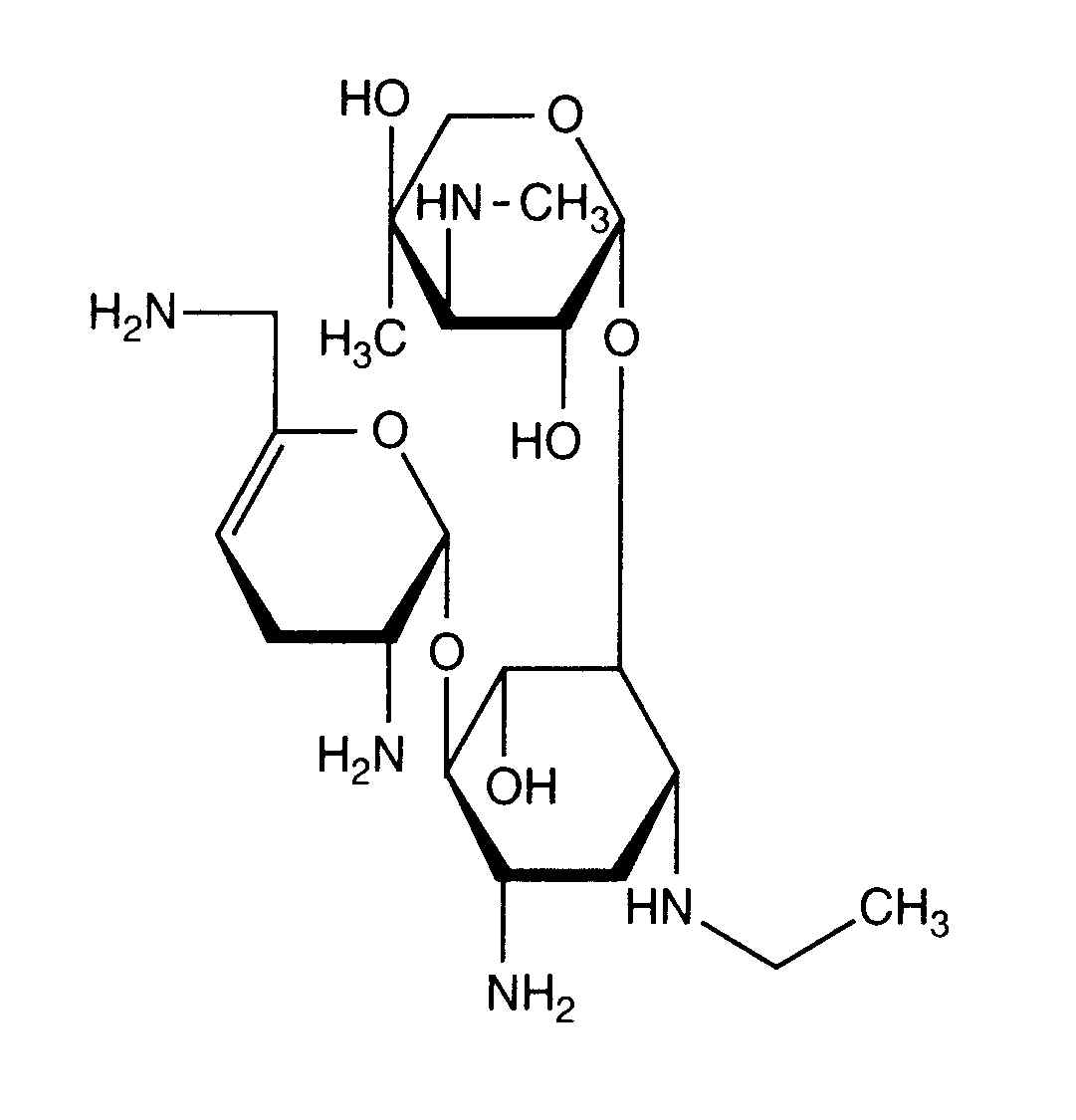
   Kemiallinen rakenne  

Aerosoli
Vakaus lääkevalmisteen   Aerosoli   Vakaus lääkevalmisteen : Netilmicin sulfate      
ei tietoa

  Mentions Légales