Cập nhật lần cuối :
18/03/2026
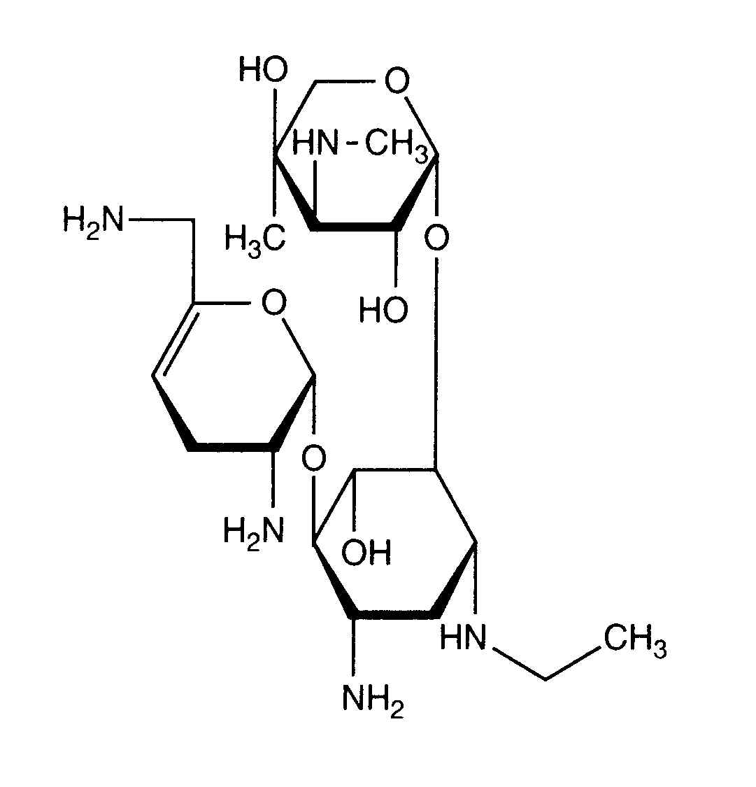
Kháng sinh   Netilmicin sulfate   
Khí dung
Dạng tiêm
Tính ổn định của các chế phẩm Độ ổn định khi trộn lẫn Những yếu tố ảnh hưởng đến độ ổn định Khả năng tương thích Tài liệu tham khảo Pdf
   Cấu trúc hóa học  

Khí dung

Những yếu tố ảnh hưởng đến độ ổn định   Khí dung   Những yếu tố ảnh hưởng đến độ ổn định : Netilmicin sulfate         
Không có dữ liệu

  Mentions Légales