Poslední aktualizace :
18/03/2026
Antibiotikas   Netilmicin sulfate   
Aerozolis
Įpurškimas
Stabilumas farmacinių preparatų Mišinių stabilumas Stabilumą lemiantys veiksniai Suderinamumas Bibliografija pdf
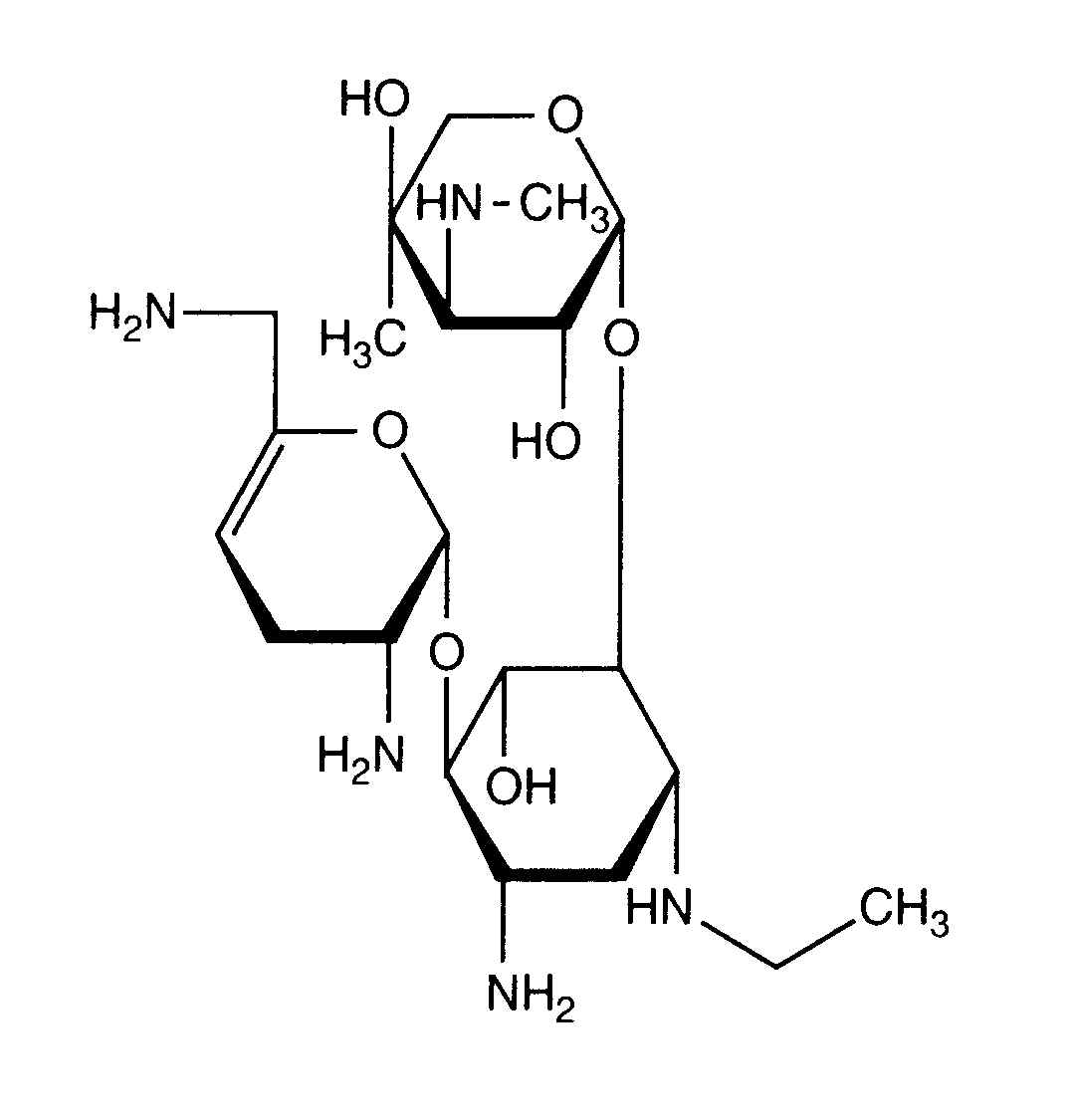
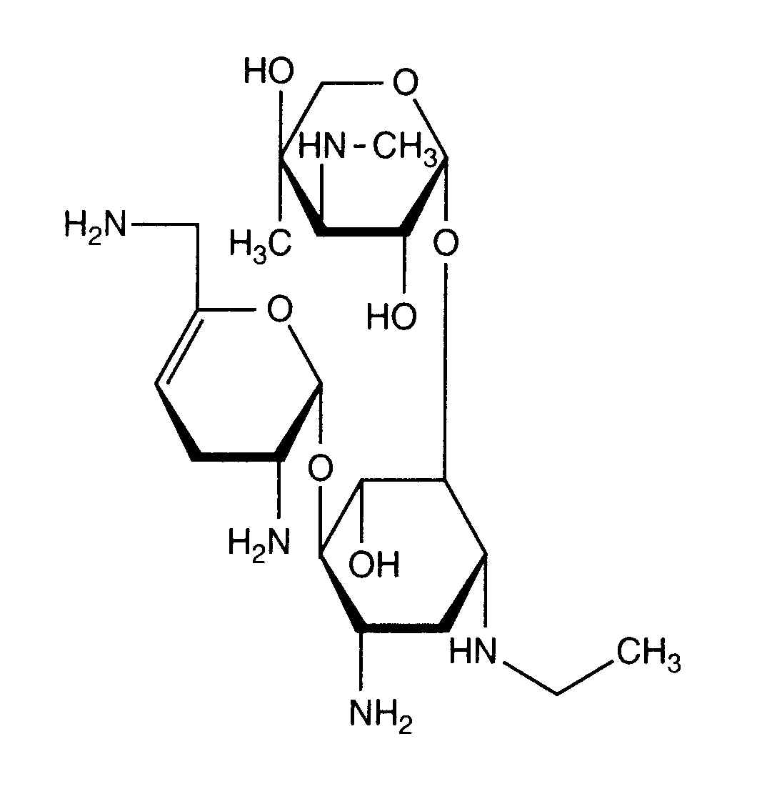
   Cheminė sandara  

Aerozolis

Stabilumą lemiantys veiksniai   Aerozolis   Stabilumą lemiantys veiksniai : Netilmicin sulfate         
Nėra duomenų

  Mentions Légales