Seneste opdatering :
18/03/2026
Antibiotisk   Netilmicin sulfate   
Aerosol
Injektion
Stabilitet af farmaceutiske tilberedninger Stabilitet i blandinger Faktorer der påvirker stabiliteten Kompatibilitet Bibliografi pdf
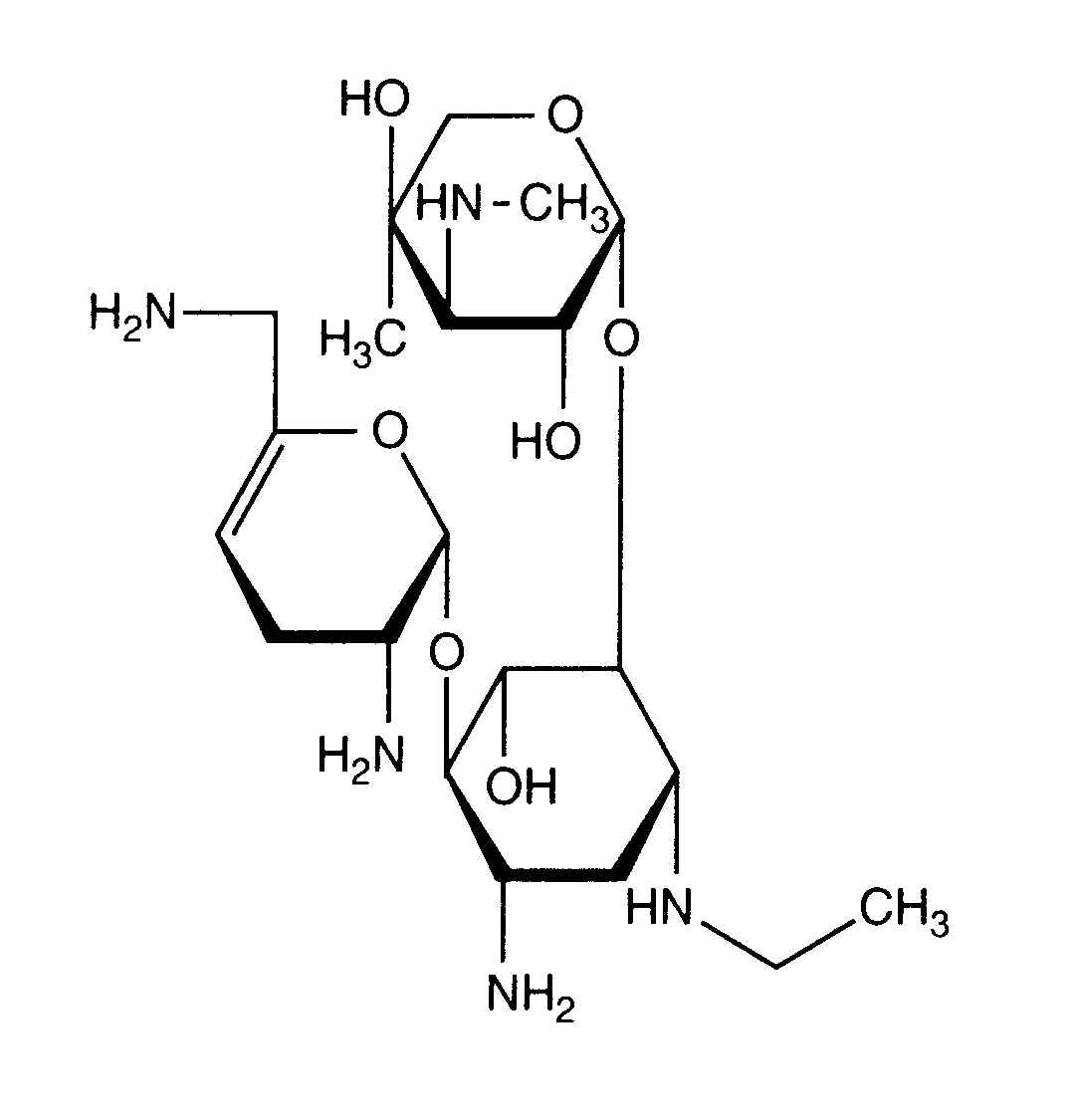
   Kemisk struktur  

Aerosol

Faktorer der påvirker stabiliteten   Aerosol   Faktorer der påvirker stabiliteten : Netilmicin sulfate         
Ingen data

  Mentions Légales