Pēdējā atjaunošana :
18/03/2026
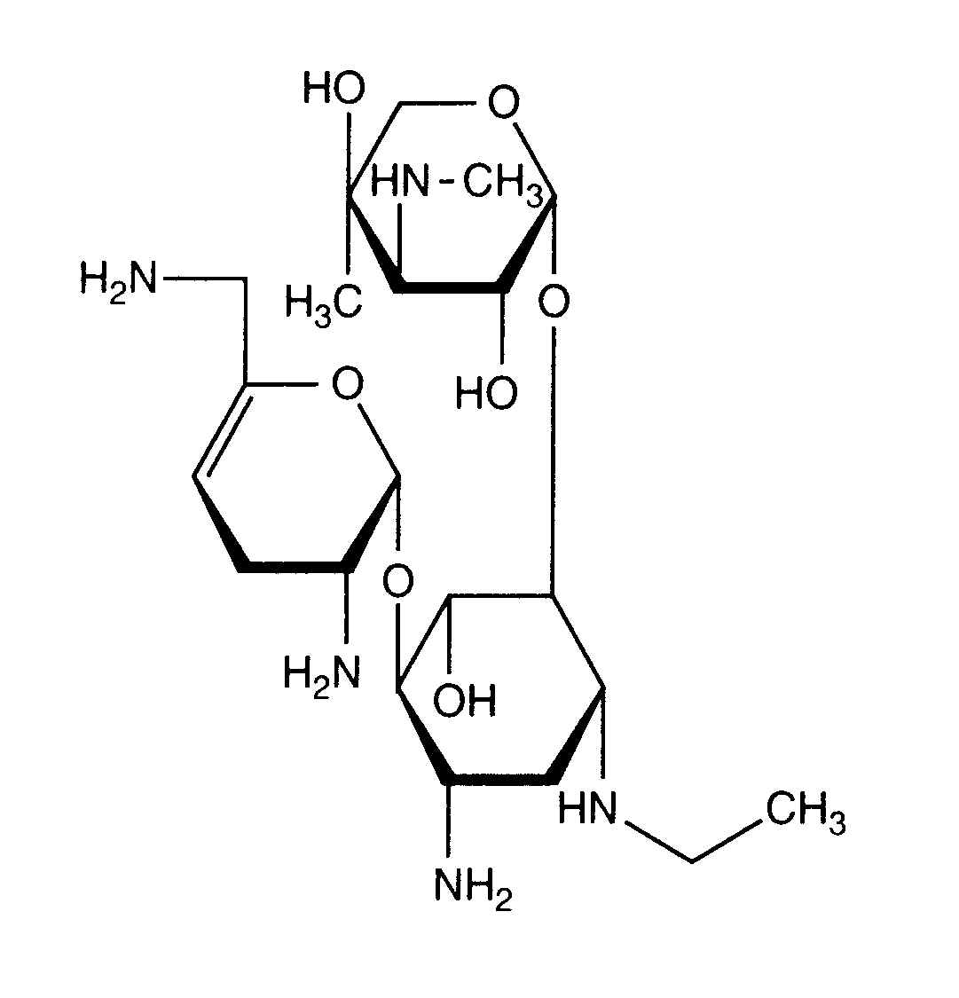
Antibiotika   Netilmicin sulfate   
Aerosols
Injekcija
Stabilitāte farmaceitisko preparātu Maisījuma stabilitāte Stabilitāti ietekmējoši faktori Saderība Literatūras saraksts pdf
   Ķīmiskā uzbūve   

Aerosols

Stabilitāti ietekmējoši faktori   Aerosols   Stabilitāti ietekmējoši faktori : Netilmicin sulfate         
Nav datu

  Mentions Légales