最新更新 :
18/03/2026
抗生素   Netilmicin sulfate   
气雾剂
注射液
制剂的稳定性 混合物稳定性 影响稳定性的因素 兼容性 引用文献 PDF
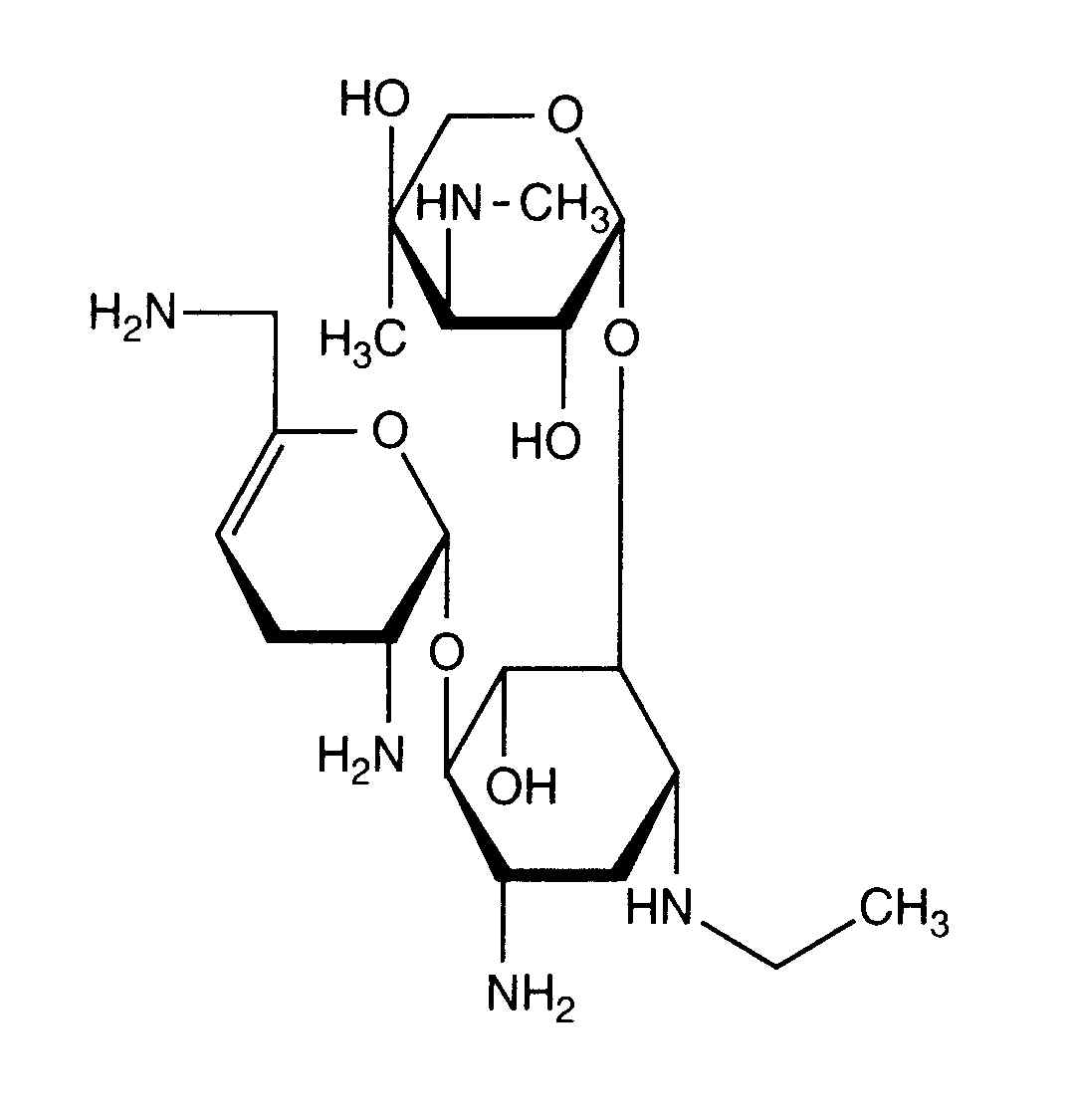
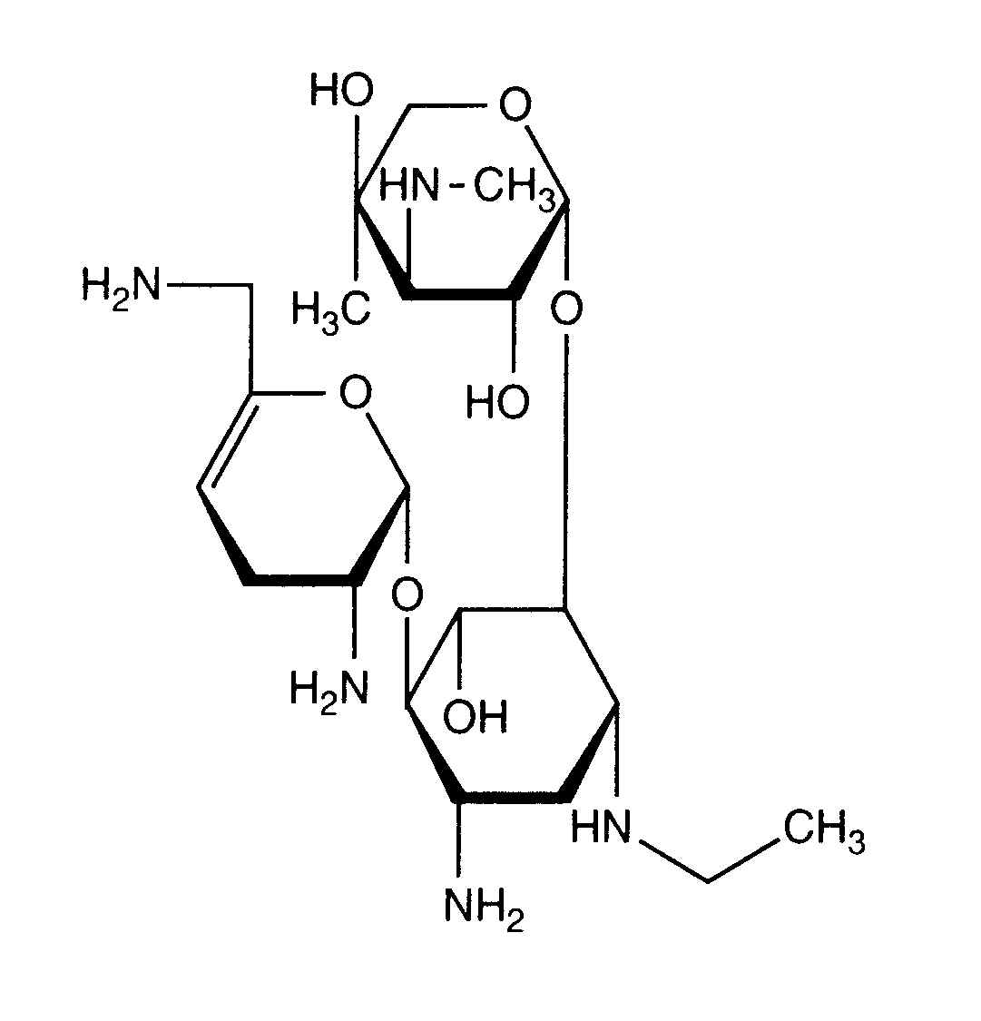
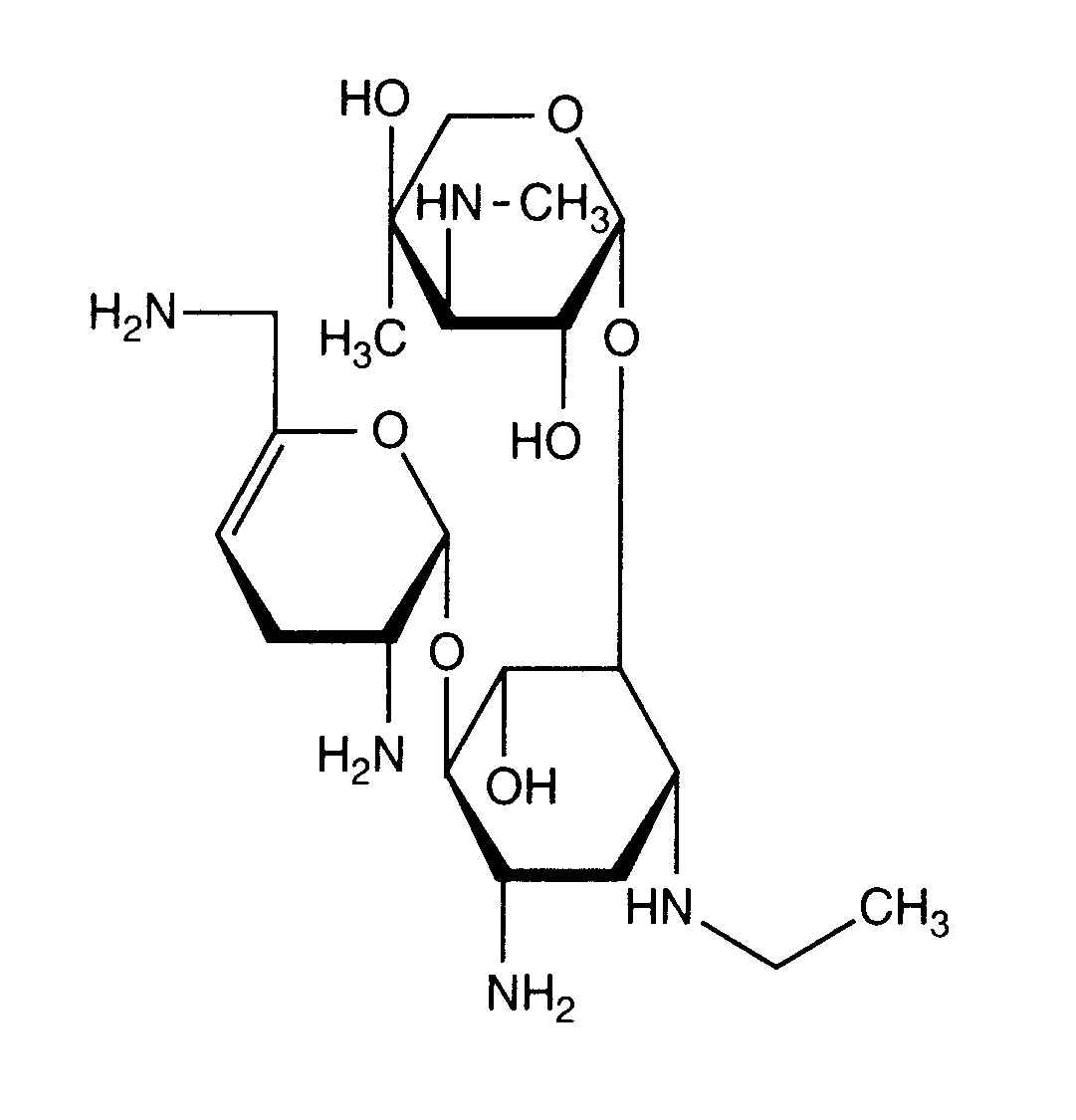
   化学式  

气雾剂

影响稳定性的因素   气雾剂   影响稳定性的因素 : Netilmicin sulfate         
无数据

  Mentions Légales