Son güncelleme :
18/03/2026
Antibiyotik   Netilmicin sulfate   
Aerosol
Enjeksiyon
Farmasötik preparatlar Kararlılığı Karışımlardaki stabilitesi Stabiliteyi etkileyen faktörler Uyumluluk Kaynaklar pdf
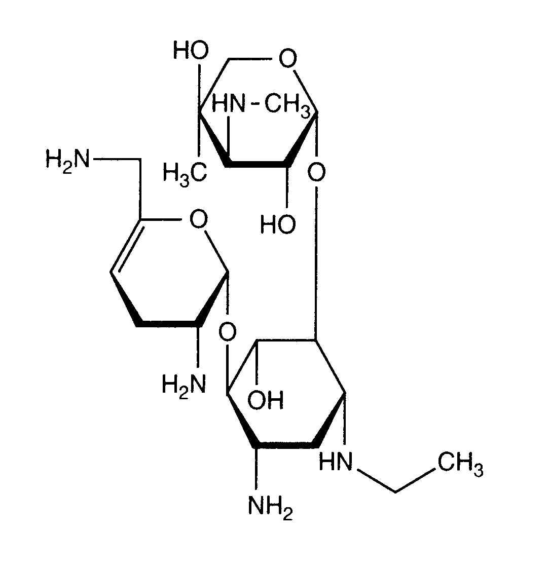
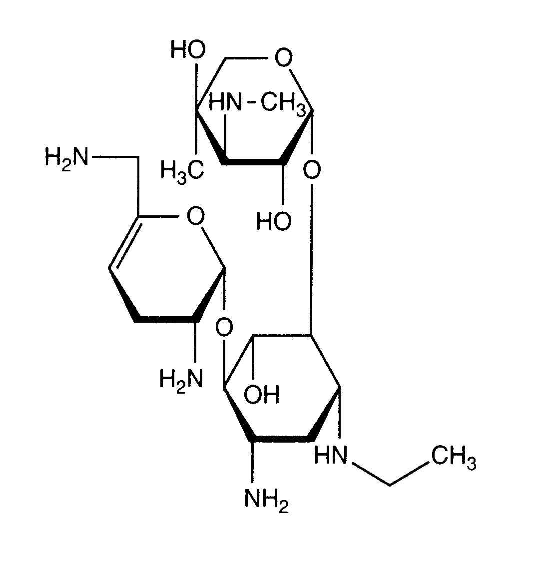
   Kimyasal yapı   

Aerosol

Stabiliteyi etkileyen faktörler    Aerosol   Stabiliteyi etkileyen faktörler : Netilmicin sulfate         
veri yok

  Mentions Légales