Последно актуализиране :
18/03/2026
Антибиотик   Netilmicin sulfate   
Аерозол
Инжекция/Инжекционен
Стабилност на лекарствени препарати Стабилност на смеси Фактори, повлияващи стабилността Съвместимост Библиография Pdf
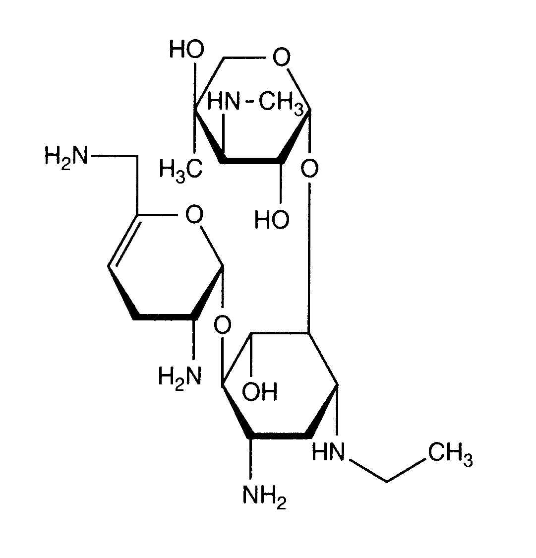
   Химична структура  

Аерозол

Фактори, повлияващи стабилността   Аерозол   Фактори, повлияващи стабилността : Netilmicin sulfate         
Няма данни

  Mentions Légales