Ostatnia aktualizacja :
18/03/2026
Antybiotyk   Netilmicin sulfate   
Aerozol
Injekcje
Stabilność preparatów farmaceutycznych Trwałość w mieszaninie Czynnik wpływający na trwałość Zgodność Bibliografia pdf
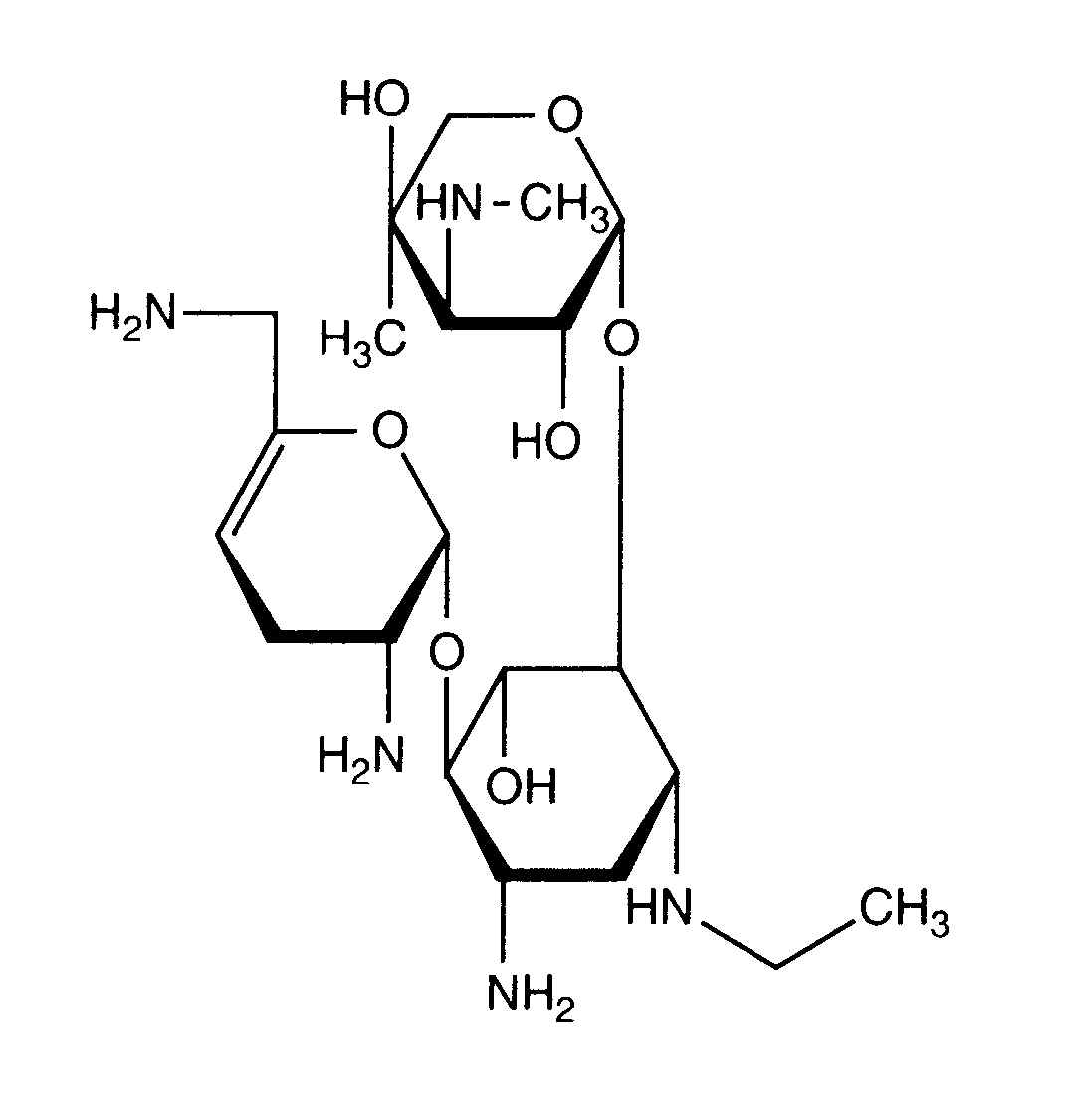
   Struktura chemiczna  

Aerozol

Czynnik wpływający na trwałość   Aerozol   Czynnik wpływający na trwałość : Netilmicin sulfate         
Brak danych

  Mentions Légales