Τελευταία ενημέρωση :
05/12/2025
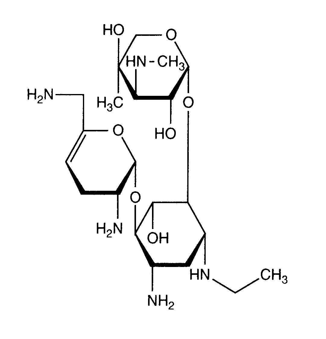
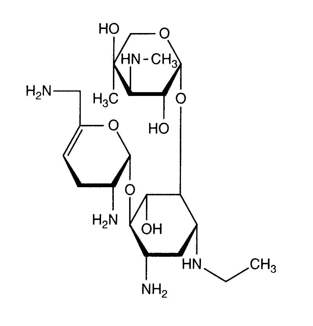
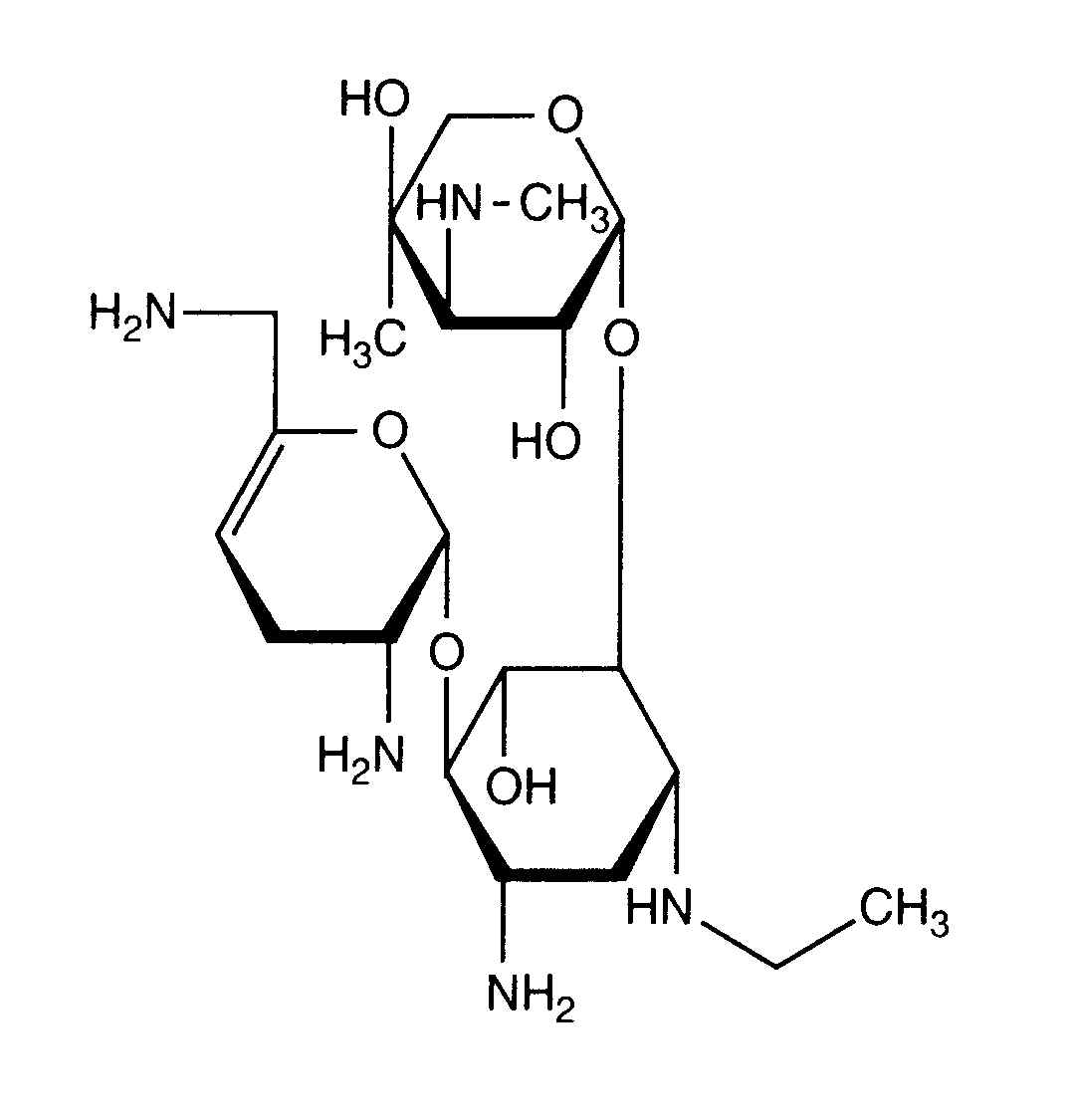
Αντιβιοτικό   Netilmicin sulfate   
Αεροζόλ
Ενέσιμο
Σταθερότητα και συμβατότητα των φαρμάκων Σταθερότητα σε μίγματα Παράγοντας που επηρεάζει τη σταθερότητα Συμβατότητες Βιβλιογραφία pdf
   χημική δομή  

Αεροζόλ

Παράγοντας που επηρεάζει τη σταθερότητα   Αεροζόλ   Παράγοντας που επηρεάζει τη σταθερότητα : Netilmicin sulfate         
Δεν υπάρχουν πληροφορίες

  Mentions Légales