Posledná aktualizácia :
18/03/2026
antibiotikum   Tobramycin sulfate   
Očná instilácia
Aerosól Injekcia Perorálny roztok
Stabilita farmaceutických prípravkov Stabilita v zmesiach Faktory ovplyvňujúce stabilitu Kompatibility Odkazy na literatúru PDF
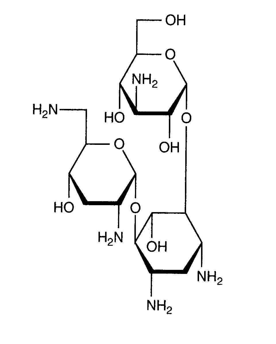
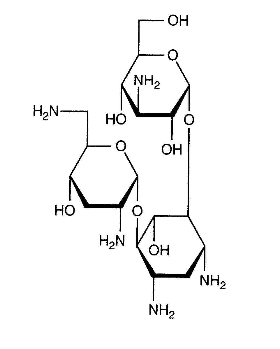
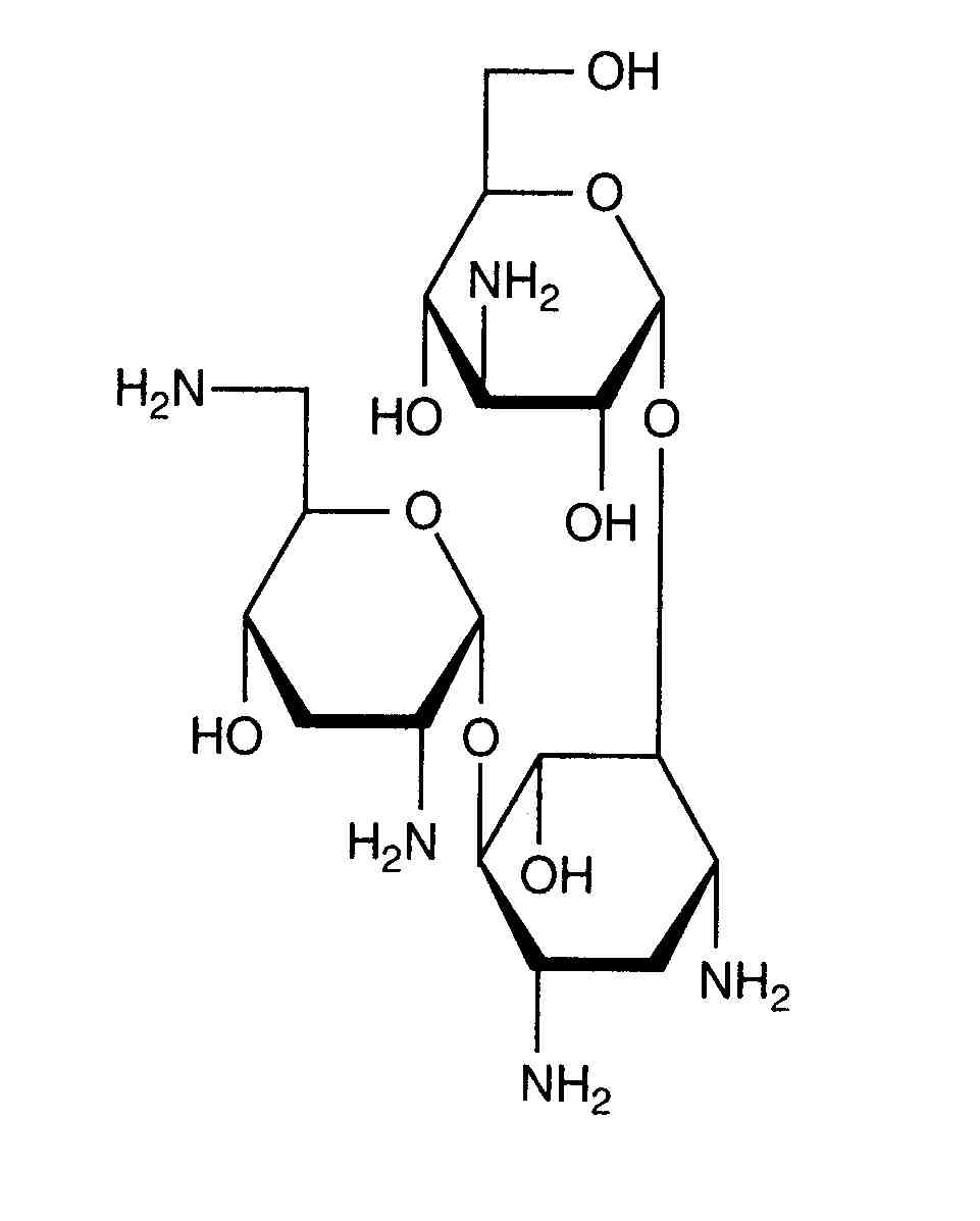
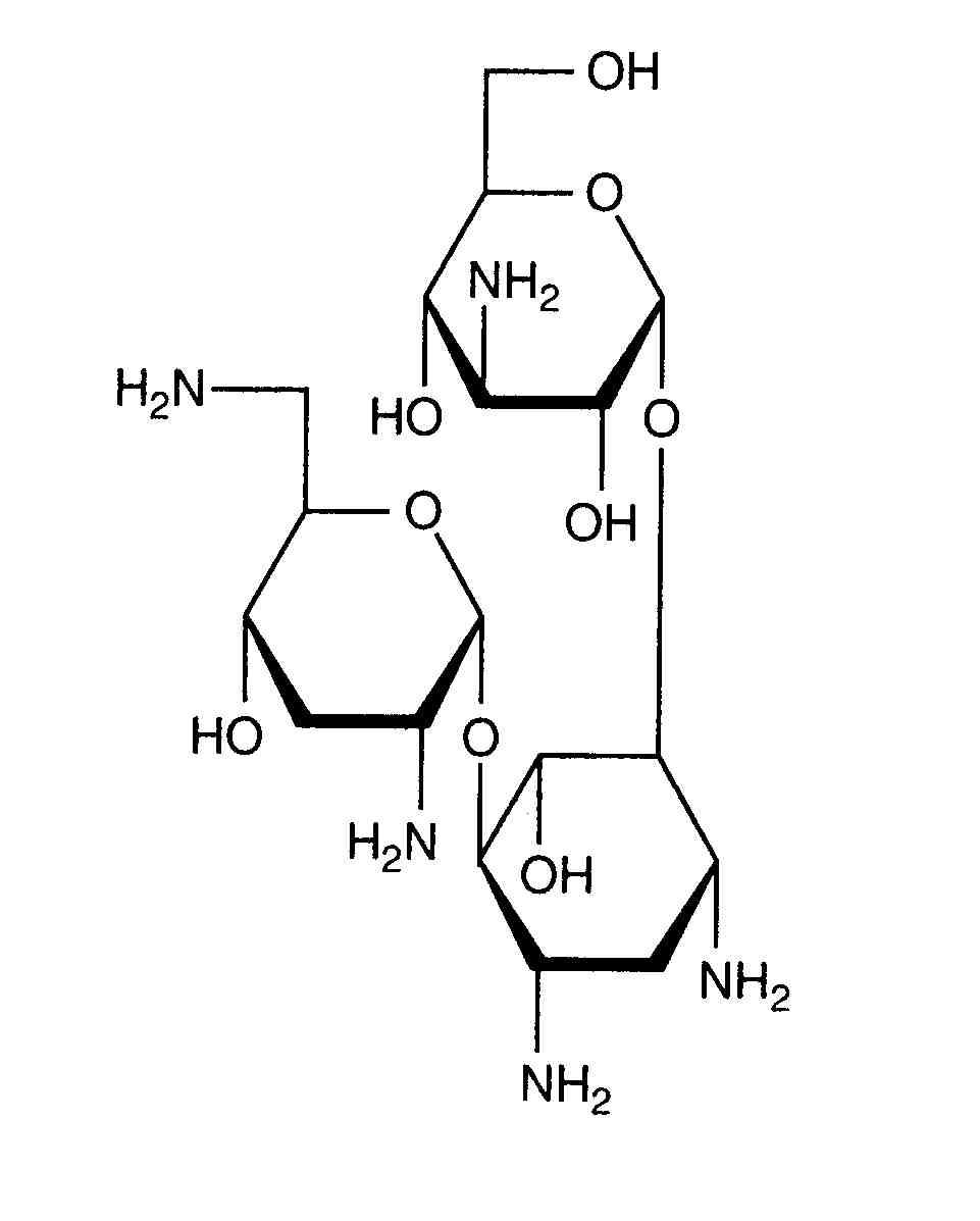
   Chemický vzorec  

Očná instilácia
Stabilita farmaceutických prípravkov   Očná instilácia   Stabilita farmaceutických prípravkov : Tobramycin sulfate      
obal Pôvod Pomocná látka teplota uchovávanie Trvanie stability odkazy na lieteratúru
Plastová fľaša Injekčná liekovka 5 ml
Nebcin® 40 mg/ml
Tobrex® 3 mg/ml očná instilácia 2 ml
4-8°C Chránené pred svetlom
90 dní
2487


  Mentions Légales