Poslední aktualizace :
27/11/2025
Antibiotikum   Tobramycin sulfate   
Humbuk
Aerosol injekce Perorální roztok
Stabilita farmaceutických přípravků Stabilita směsí Faktory ovlivňující stabilitu Kompatibilita Odkazy pdf
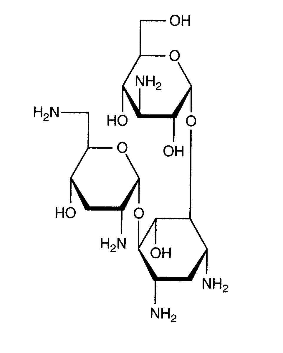
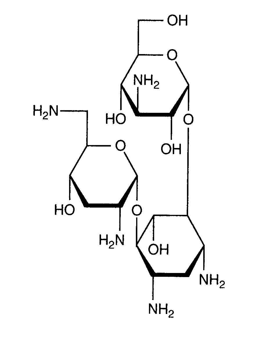
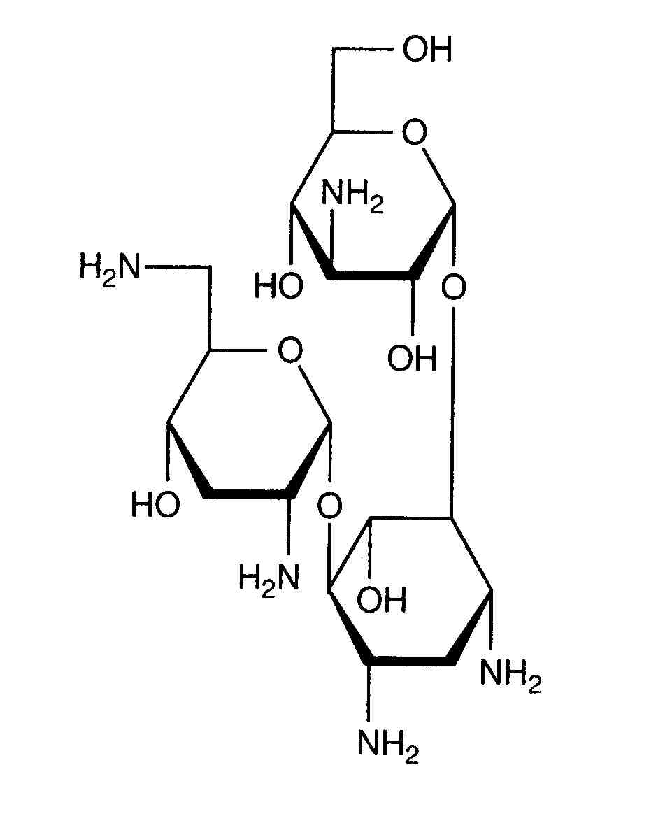
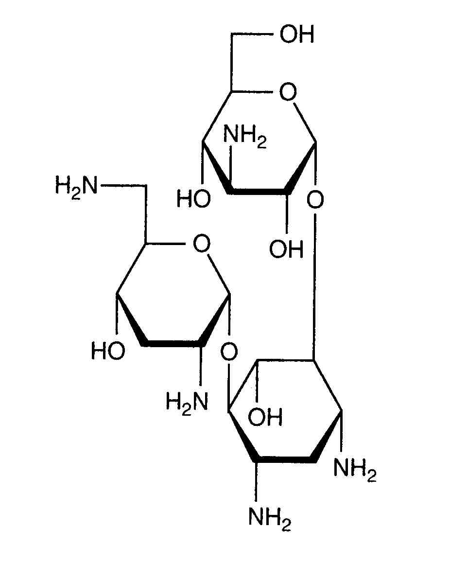
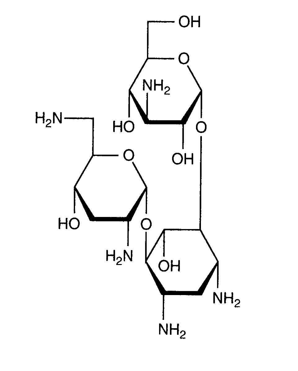
   Chemický vzorec  

Humbuk
Stabilita farmaceutických přípravků   Humbuk   Stabilita farmaceutických přípravků : Tobramycin sulfate      
Obal Origine Pomocné látky Teplota Uchovávání Trvání stability Odkazy
plastová láhev Lékovka pro injekci 5 ml
Nebcin® 40 mg/ml
Tobrex® 3 mg/ml eye-drops 2 ml
4-8°C Chráněno před světlem
90 Den
2487


  Mentions Légales